【中考一模】2026届上海市徐汇区初三一模数学试卷

四季读书网 11 0
【中考一模】2026届上海市徐汇区初三一模数学试卷

【中考一模】2026届上海市徐汇区初三一模数学试卷

【中考一模】2026届上海市徐汇区初三一模数学试卷 第1张
【中考一模】2026届上海市徐汇区初三一模数学试卷 第2张
【中考一模】2026届上海市徐汇区初三一模数学试卷 第3张
【中考一模】2026届上海市徐汇区初三一模数学试卷 第4张
【中考一模】2026届上海市徐汇区初三一模数学试卷 第5张
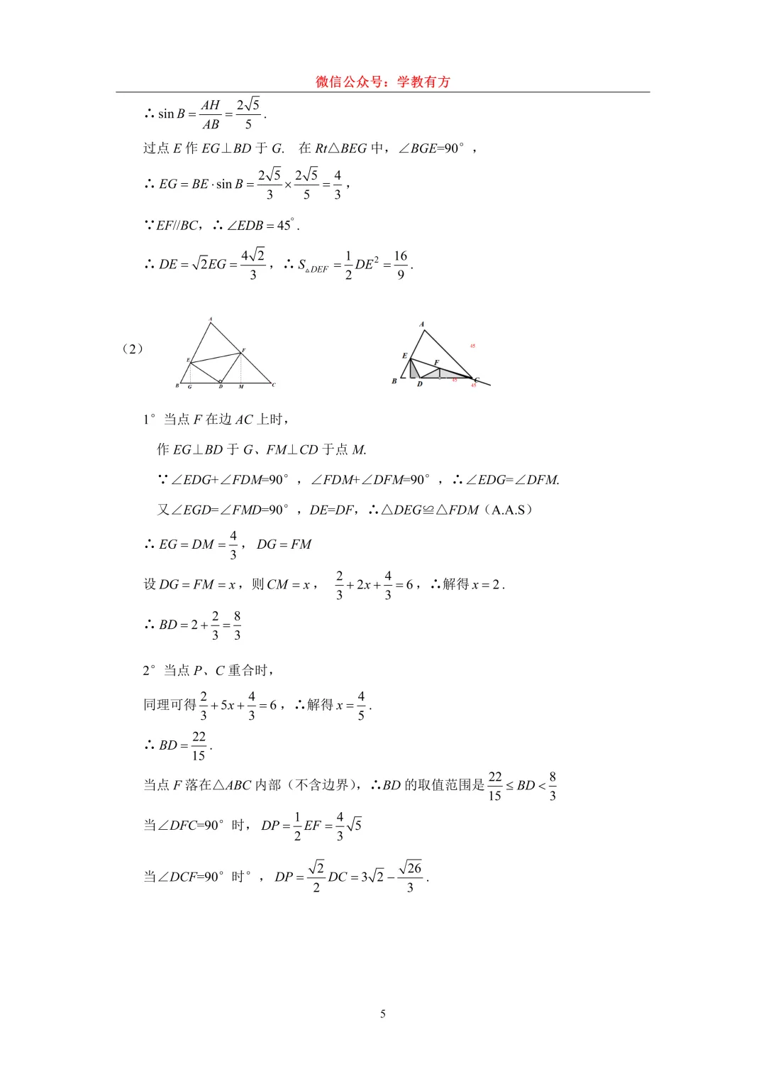
【中考一模】2026届上海市徐汇区初三一模数学试卷 第6张
【中考一模】2026届上海市徐汇区初三一模数学试卷 第7张
【中考一模】2026届上海市徐汇区初三一模数学试卷 第8张
【中考一模】2026届上海市徐汇区初三一模数学试卷 第9张
【中考一模】2026届上海市徐汇区初三一模数学试卷 第10张
【中考一模】2026届上海市徐汇区初三一模数学试卷 第11张
【中考一模】2026届上海市徐汇区初三一模数学试卷 第12张

抱歉,评论功能暂时关闭!