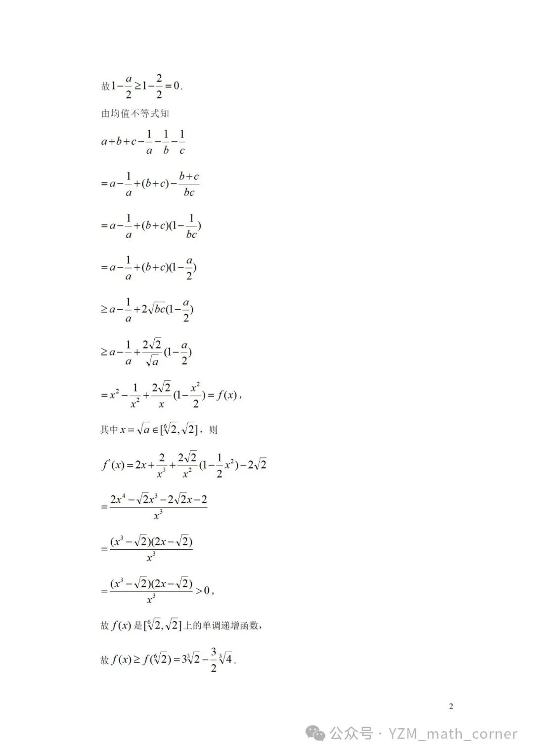
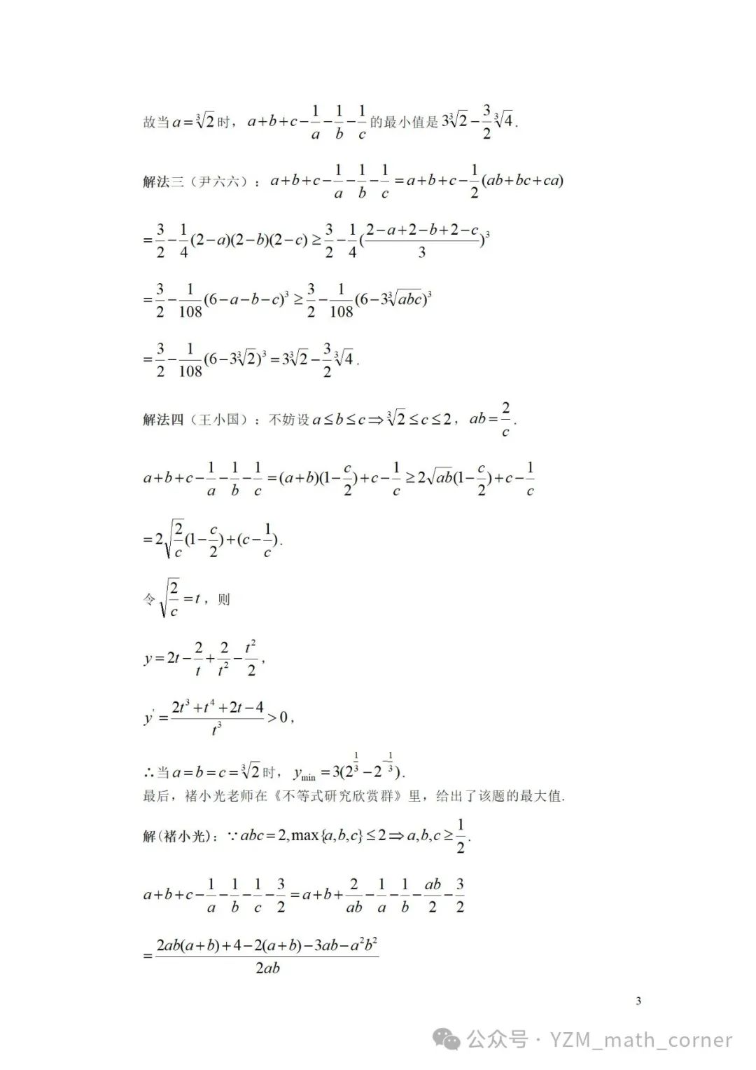
近三十七年(1986- 2022)IMO中国国家集训队选拔考试试题及参考答案集锦
近21届(2002-2022)中国女子数学奥林匹克试题及解答
近十九年(2001-2019)中国西部数学邀请赛试题及解答集锦
近十四届(2005-2018年)中国北方数学奥林匹克试题及解答集锦
近十七年(2004-2020)中国东南地区数学奥林匹克试题及解答集锦
近十五年(2008-2022)全国高中数学联赛贵州省预赛试题及参考答案
近二十一年(2003-2023 )全国高中数学联赛(福建省赛区)预赛试卷集锦
近十九年(2004-2022)全国高中数学联赛吉林赛区预赛试题与详细解答集锦
近五年(2018-2022)全国高中数学联赛重庆赛区预赛试题与详细解答集锦
近十八年(2005-2022)全国高中数学联赛江西省预赛试题解答
2004-2018年南昌市高中数学竞赛试卷及答案
近十五年(2005-2019)年全国高中数学联合竞赛浙江省预赛试卷及详细解答
近十五年(2005-2019)全国高中数学联赛江苏赛区初赛、复赛试题及详细解答
近十五年(2004-2018)全国高中数学联赛河南预赛试题及答案集锦
近十九年(2002-2020)全国高中数学联赛(四川预赛)试题及答案集锦
近二十年(2000-2019)全国高中数学联赛(湖南预赛)试题及答案集锦


















【相关链接】
重磅!2024春晚考点出炉!各科名师连夜整理,今年高考很可能会考!
杨志明:对数平均不等式的加强----兼谈2023年全国高考天津卷压轴题的解答
【高考命题研究】:数学命题的5次转变,目前正在进行第6次转变
杨志明:一个三角形中线长与内角平分线长之积的不等式的逆向不等式
杨志明:杭州二中解三角形题(直角三角形的外接正三角形)的解答
杨志明:山东新高考联合质量测评3月联考第14题(三元条件最值)的解答
杨志明:2024年广州一模次压轴题(圆锥曲线)探源(附全卷及官方标准答案)
邹生书、张泽福、杨志明:2024年广州一模次压轴题(圆锥曲线)的几种解法
值得重视的圆锥曲线的第二定义----从2024年深圳一调压轴题(解析几何)的解答谈起
杨志明:让解题思路来得自然些----从一道二元条件最值的解法谈起
杨志明:日照市2023级高一上学期数学期末多选压轴题(高斯函数)的解答
杨志明:新疆乌鲁木齐地区2024年高三年级第一次质量检测数学次压轴题(解几)的探究
继续点评一些“九省”题型的第19题,兼谈什么样的新定义题适合出现在重要考试中
杨志明:(新卷型)新疆乌鲁木齐地区2024年高三年级第一次质量检测数学压轴题的另解
刘蒋巍:2024届镇海中学高三期末曲率新定义第19题命题解读及延申
杨志明:2024年日照高考一模压轴题(解几)的漂亮解法及探源
吴康:2024年高考综合改革适应性测试(9省联考)数学压轴大题16题解与推广
段留安:加权均值携手待定系数法再解九省联考第14题双最值问题
杨志明:“同构法”解THUSSAT2024年1月诊断性测试中的比较大小问题
THUSSAT2024年1月诊断性测试16题解法(十一种)集锦
杨志明:2024年圆梦杯竞赛多选压轴题的分式递推数列问题的解答
杨志明:一道对角线互相垂直的四边形的内接矩形的对角线之和的求值问题的解答
杨志明:THUSSAT2024年1月诊断性测试选择压轴题的三种解法