2021年北京市中考数学试卷
一、选择题(共16分,每题2分)第1-8题均有四个选项,符合题意的选项只有一个.
1. 如图是某几何体的展开图,该几何体是( )

A. 长方体 B. 圆柱 C. 圆锥 D. 三棱柱
2. 党的十八大以来,坚持把教育扶贫作为脱贫攻坚的优先任务.
年,中央财政累计投入“全面改善贫困地区义务教育薄弱学校基本办学条件”专项补助资金1692亿元,将169200000000用科学记数法表示应为( )

3. 如图,点
在直线
上,
,则
的大小为( )

A. 30° B.
C.
D. 
4. 下列多边形中,内角和最大的是( )
A.
B.
C.
D. 
5. 实数
在数轴上的对应点的位置如图所示,下列结论中正确的是( )

A.
B.
C.
D. 
6. 同时抛掷两枚质地均匀的硬币,则一枚硬币正面向上、一枚硬币反面向上的概率是( )
A.
B.
C.
D. 
7. 已知
.若
为整数且
,则
的值为( )
A. 43 B. 44 C. 45 D. 46
8. 如图,用绳子围成周长为
的矩形,记矩形的一边长为
,它的邻边长为
,矩形的面积为
.当
在一定范围内变化时,
和
都随
的变化而变化,则
与
与
满足的函数关系分别是( )

A. 一次函数关系,二次函数关系
B. 反比例函数关系,二次函数关系
C. 一次函数关系,反比例函数关系
D. 反比例函数关系,一次函数关系
二、填空题(共16分,每题2分)
9. 若
在实数范围内有意义,则实数
的取值范围是_______________.
10. 分解因式:
______________.
11. 方程
的解为______________.
12. 在平面直角坐标系
中,若反比例函数
的图象经过点
和点
,则
的值为______________.
13. 如图,
是
___.

14. 如图,在矩形
中,点
分别在
上,
.只需添加一个条件即可证明四边形
是菱形,这个条件可以是______________(写出一个即可).

15. 有甲、乙两组数据,如表所示:

甲、乙两组数据
方差分别为
(填“>”,“<”或“=”).
16. 某企业有
两条加工相同原材料的生产线.在一天内,
生产线共加工
吨原材料,加工时间为
小时;在一天内,
生产线共加工
吨原材料,加工时间为
小时.第一天,该企业将5吨原材料分配到
两条生产线,两条生产线都在一天内完成了加工,且加工时间相同,则分配到
生产线的吨数与分配到
生产线的吨数的比为______________.第二天开工前,该企业按第一天的分配结果分配了5吨原材料后,又给
生产线分配了
吨原材料,给
生产线分配了
吨原材料.若两条生产线都能在一天内加工完各自分配到的所有原材料,且加工时间相同,则
的值为______________.
三、解答题(共68分,第17-20题,每题5分,第21-22题,每题6分,第23题5分,第24题6分,第25题5分,第26题6分,第27-28题,每题7分)解答应写出文字说明、演算步骤或证明过程.
17. 计算:
.
18. 解不等式组:
19. 已知
,求代数式
的值.
20. 《淮南子・天文训》中记载了一种确定东西方向的方法,大意是:日出时,在地面上点
处立一根杆,在地面上沿着杆的影子的方向取一点
,使
两点间的距离为10步(步是古代的一种长度单位),在点
处立一根杆;日落时,在地面上沿着点
处的杆的影子的方向取一点
,使
两点间的距离为10步,在点
处立一根杆.取
的中点
,那么直线
表示的方向为东西方向.
(1)上述方法中,杆在地面上的影子所在直线及点
的位置如图所示.使用直尺和圆规,在图中作
的中点
(保留作图痕迹);

(2)在如图中,确定了直线
表示的方向为东西方向.根据南北方向与东西方向互相垂直,可以判断直线
表示的方向为南北方向,完成如下证明.
证明:在△ABC中,
______________,
是
的中点,
CA⊥DB(______________)(填推理的依据).
∵直线
表示的方向为东西方向,
∴直线
表示
方向为南北方向.
21. 已知关于
的一元二次方程
.
(1)求证:该方程总有两个实数根;
(2)若
,且该方程的两个实数根的差为2,求
的值.
22. 如图,在四边形
中,∠ACB=∠CAD=90°,点
在
上,
,EF⊥AB垂足为
.

(1)求证:四边形
是平行四边形;
(2)若
平分∠BAC,
,求
和
的长.
23. 在平面直角坐标系
中,一次函数y=kx+b(k≠0)的图象由函数
的图象向下平移1个单位长度得到.
(1)求这个一次函数的解析式;
(2)当
时,对于
的每一个值,函数y=mx(m≠0)的值大于一次函数
的值,直接写出
的取值范围.
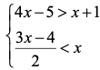
24. 如图,圆O是△ABC的外接圆,
是圆O的直径,AD交BC于点
.

(1)求证:∠BAD=∠CAD;
(2)连接
并延长,交
于点
,交圆O于点
,连接
.若圆O的半径为5,,求
和
的长.
25. 为了解甲、乙两座城市的邮政企业4月份收入的情况,从这两座城市的邮政企业中,各随机抽取了25家邮政企业,获得了它们4月份收入(单位:百万元)的数据,并对数据进行整理、描述和分析.下面给出了部分信息.
.甲城市邮政企业4月份收入的数据的频数分布直方图如下(数据分成5组:6≤x<8,8≤x<10,10≤x<12,12≤x<14,14≤x<16):

.甲城市邮政企业4月份收入的数据在
这一组的是:10.0,10.0,10.1,10.9,11.4,11.5,11.6,11.8
.甲、乙两座城市邮政企业4月份收入
数据的平均数、中位数如下:
| 平均数 | 中位数 |
甲城市 | 10.8 |
|
乙城市 | 11.0 | 11.5 |
根据以上信息,回答下列问题:
(1)写出表中
的值;
(2)在甲城市抽取的邮政企业中,记4月份收入高于它们的平均收入的邮政企业的个数为
.在乙城市抽取的邮政企业中,记4月份收入高于它们的平均收入的邮政企业的个数为
.比较
的大小,并说明理由;
(3)若乙城市共有200家邮政企业,估计乙城市的邮政企业4月份的总收入(直接写出结果).
26. 在平面直角坐标系
中,点
和点
在抛物线
上.
(1)若
,求该抛物线的对称轴;
(2)已知点
在该抛物线上.若
,比较
的大小,并说明理由.
27. 如图,在△ABC中,AB=AC,∠BAC=α,M为
的中点,点
在
上,以点
为中心,将线段
顺时针旋转α得到线段
,连接
.

(1)比较∠BAE与∠CAD
大小;用等式表示线段
之间的数量关系,并证明;
(2)过点
作
的垂线,交
于点
,用等式表示线段
与
的数量关系,并证明.

(1)如图,点
的横、纵坐标都是整数.在线段
中,圆O的以点
为中心的“关联线段”是______________;
(2)△ABC是边长为1的等边三角形,点
,其中t≠0.若
是圆O的以点
为中心的“关联线段”,求
的值;
(3)在△ABC中,
.若
是圆O
以点
为中心的“关联线段”,直接写出
的最小值和最大值,以及相应的
长.






















