2604稽阳联考物理试卷创新过头了吧,真是扼杀普通学生士气。下面选几个选择题解析一下,会尽量说清楚思路的来龙去脉。


看似简单,但其实还是比较考查学生的力学分析功底的。关键点是要能分析出小球受杆的弹力的方向。考查点是【杆的弹力力不一定顺着杆,但活杆平衡时的弹力方向一定通过支点(铰接点)(因为杠杆平衡且各受力点在同一点时,所受合力一定通过支点)】。或者知道【三力平衡要么相互平行,要么共点。】
由此,以小球为研究对象,画出三个受力,再以三角形方法(平移三力形成一个循环三角形),易得C正确。


5.

A·卫星受稀薄空气阻力做负功,所以机械能减小。故A错。
B·每一圈内,卫星轨道几乎不变,面积速度也几乎不变,长期在缓慢降低,类比圆轨道中V2R=GM,进而可得S2/R=GM,可知R↓,S↓。故B错。
C·由开普勒第三定律,可知,绕同一中心天体的不同轨道上,半长轴的三次方与周期的平方之比都相等。故C错。
D·显然,如图大椭圆的近地点与小椭圆的远地点接近。显然,大椭圆在近地点减速后才能变成小椭圆轨道。故D对。
6.
易求出最外一侧光线的入射角最大为45°,此入射线进入小圆柱的折射角为30°,偏折15°,射出小圆柱时由对称性易得再偏折15°。共偏折30°。同样,最外另一侧光线反向共偏折30,所以右侧出射光线之间的最大夹角为60°。故D对。
【折射中,入射角越大,折射角越大,偏折角度也越大。】

7.
A·线圈在恒定磁场中转动形成的交流电本来就是顺向和逆向对称的正弦交流电。所以不需要换向器。若有换向器功能,则电流方向不会变化了。故A对。(技术上理解不了,可以先看其他选项,用排除法)
B·电容阻直流通交流,阻低频通高频,电感作用刚好相反。所以交流电不利减少线路上的感抗。故B错。
C·由变压器小推论,

,r减半时,I会增大,

,所以损耗减小量不足一半。
D·同样,k2减半,仅可知R-ep变为原来的1/4。并不能推出电流变为原来的2倍。故D错。
8.
题目图像可看出,两端的中间点为减弱点,由减弱点条件可知,两个减弱点之间相隔0.5λ,所以两端相距2λ。
A·陷阱。叠加后各点的振动频率确实等于波源频率,但频率是2880/60=48Hz。故A错。
B·由对称性易判断M和N两个点的相位总是相反。
C·频闪光频率为干涉波频率2倍,则每半个波周期拍照一次,对任意质点,不管从何相位开始拍,每两次都会回到原相位。所以最多可以看到2条不同的波形。故C对。
D·5760r/min,时,波长减半,减弱点翻倍。故D错。

本题有些超纲,非常考验物理的微元积累思维和数学推导能力。
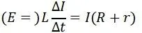
A·电感是阻碍电流突变而不是电压。初始线圈两端电压为E,断开后瞬间,电流仍为E/r,则电压为(E/r)*R。故A错。

所以电流衰减具有半衰期规律。故B正确。


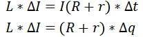
联立可得C正确。
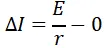
D·判断D错可能不难。但正向计算可能一下子想不到直接思路。不妨从原始理论一步步尝试。电源对线圈提供的电压E电感L和电阻r共同分担。充磁功率应该就是电感的功率。
P感=U感I=(E0-Ir)I,这完全等效于电动势为E内阻为r的电源的最大输出功率情景。显然最大输出功率为E02/4r。