马上中考,物理试题:近期我国有哪些热点科技成果,有望成为题目情境?深度分析,干货满满

四季读书网 1 0
马上中考,物理试题:近期我国有哪些热点科技成果,有望成为题目情境?深度分析,干货满满

2025年7月至2026年5月期间,我国有7大科技成果比较适合进入初中物理中考试题情境

梳理这些前沿科技的考点,并提供模拟题及汇总典型案例,希望对备考有帮助。

内容较长,建议转发收藏,慢慢看。

参考答案在最后。

01

天问二号发射,开启小行星探测新征程

马上中考,物理试题:近期我国有哪些热点科技成果,有望成为题目情境?深度分析,干货满满 第1张
图片来源:瞭望

考点:运动与力、电磁波、能量转化。

例题1:2025年,我国行星探测工程“天问二号”探测器成功发射,开启首次小行星探测与采样返回之旅。探测器在深空中飞行时,通过电磁波与地面测控站保持通信。

(1)探测器在太空中做匀速直线运动时,是否需要持续施加推力?请用牛顿第一定律解释。

(2)地面测控站向距离地球3×10⁷ km处的探测器发送指令信号,电磁波传播速度为3×10⁵ km/s。求信号到达探测器所需时间。

(3)探测器采样后返回地球,在进入大气层过程中,其机械能如何转化?

02

CR450动车组巩固世界领跑优势

马上中考,物理试题:近期我国有哪些热点科技成果,有望成为题目情境?深度分析,干货满满 第2张
考点:速度计算、惯性、能量转化、摩擦 。
例题2:2025年,我国CR450动车组巩固扩大了高铁技术世界领跑优势,其商业运营速度进一步提升。假设CR450动车组以360 km/h的速度在平直轨道上匀速行驶。
(1)将360 km/h换算为以 m/s 为单位的速度值。
(2)若动车组匀速通过一座长10 km的跨海大桥,用时100 s,试判断列车此时运动速度是否仍为360 km/h?请计算说明。
(3)列车进站前需减速滑行。某同学认为“列车速度减小,惯性也减小”,请判断该说法是否正确并说明理由。

03

“人造太阳”EAST 1亿摄氏度运行1066秒

马上中考,物理试题:近期我国有哪些热点科技成果,有望成为题目情境?深度分析,干货满满 第3张
全超导托卡马克核聚变实验装置(EAST)图片来源:新华社

考点:内能、能量转化、能源分类。

例题3:2025年,我国有"人造太阳"之称的全超导托卡马克核聚变实验装置(EAST)成功实现1亿摄氏度下1066秒的稳态长脉冲运行,再次刷新世界纪录。

(1)核聚变属于可再生能源还是不可再生能源?
(2)核聚变释放的巨大能量来自原子核的__(选填"质量"或"体积")亏损。
(3)若将EAST中1亿℃的高温等离子体与常温海水接触,两者之间会发生(填"做功"或"热传递"),内能从转移到__。
(4)从可持续发展的角度,分析核聚变作为未来能源的两大优势。
04
“蛟龙”号北极冰区深潜、双潜器协同作业
马上中考,物理试题:近期我国有哪些热点科技成果,有望成为题目情境?深度分析,干货满满 第4张

“蛟龙”号在北极冰区载人深潜。新华社记者 刘诗平 摄

考点:液体压强、浮力、阿基米德原理。

例题4:2025年,我国“蛟龙”号载人潜水器完成首次北极冰区载人深潜,并与“奋斗者”号实现了我国首次双载人潜水器水下协同作业。“蛟龙”号最大下潜深度约7000 m,海水密度取 1.03×10³ kg/m³,g=10 N/kg。

(1)计算“蛟龙”号在7000 m深处所受海水的压强。
(2)若“蛟龙”号观察窗面积为500 cm²,计算该深度海水对观察窗的压力。
(3)分析“蛟龙”号在下潜过程中,所受浮力大小是否变化,并说明理由。
(4)受“蛟龙”号深潜的启发,某物理小组想探究“物体所受浮力大小与物体浸没深度的关系”。他们设计了如下实验:用弹簧测力计挂一金属块,分别浸没在水的不同深度(深度从刚好浸没开始逐渐增大),记录测力计示数。
①画出实验数据记录表格(至少含3个深度数据栏)。
②分析数据得出:金属块所受浮力大小随浸没深度增大而______(填“变大”“变小”或“不变”)。
③此结论能否解释"蛟龙"号在设计时需要承受7000米深处巨大水压的原因?请说明理由。

05

嫦娥六号月背样品研究成果发布

马上中考,物理试题:近期我国有哪些热点科技成果,有望成为题目情境?深度分析,干货满满 第5张

考点:重力与质量、声音传播、光的反射。

例题5:2025年7月,我国科学家利用嫦娥六号采回的月球背面样品取得多项突破性发现。已知月球对物体的引力约为地球引力的1/6。若嫦娥六号采集的月壤样品在地球表面称重为12 N。

(1)计算该月壤样品的质量(g=10 N/kg)。

(2)该样品在月球表面时的质量和重力分别是多少?

(3)分析:宇航员在月球上跳跃时比在地球上更高,这与"质量变小"有关吗?请用物理知识解释。

06

漳州核电“华龙一号2号机组并网发电

马上中考,物理试题:近期我国有哪些热点科技成果,有望成为题目情境?深度分析,干货满满 第6张

考点:核能、能量转化、电功率。

例题6:2025年,全球最大“华龙一号”核电基地——漳州核电2号机组首次并网成功。核电站利用核能发电。
(1)核电站中的核反应堆是通过____________(选填"核裂变"或"核聚变")释放能量的。
(2)请写出核电站发电的能量转化过程。
(3)核电站通常建在海边,需要大量水源。从能量转化的角度,说明水源在核电站中的作用。
(4)“华龙一号”漳州核电2号机组并网发电后,假设其向电网输送的电功率为1.2×10⁶ kW。
①若该机组满功率连续运行24小时,求其发电量(用kW·h表示)。
②若普通家庭平均每天用电量为6 kW·h,估算该机组24小时的发电量可供多少这样的家庭使用一天。

07

“子午工程正式建成(空间天气监测)

马上中考,物理试题:近期我国有哪些热点科技成果,有望成为题目情境?深度分析,干货满满 第7张

考点:电磁波,跨学科

例题7:“子午工程”是我国在空间科学领域建成的国家重大科技基础设施,其监测数据能帮助科学家及时预警太阳风暴等灾害性空间天气事件。“非相干散射雷达”是子午工程的核心装备之一,它向数百千米高的电离层发射强大的电磁波脉冲,电磁波遇到电离层中的自由电子后发生散射,雷达接收散射回波,就能“看清”电离层的结构和变化。雷达发射频率约为430 MHz,属于超高频电磁波,在空气中的传播速度近似等于真空中的光速c = 3.0 × 10⁸ m/s。

根据上述材料,回答下列问题:

(1)子午工程的“非相干散射雷达”发射电磁波的波长约为多少米?(计算结果保留两位小数)
(2)假设该雷达向距离地面300 km的电离层发射一个电磁波脉冲,从发射到接收到散射回波,大约需要多长时间?
(3)除了用于空间天气监测和预警,电磁波在通信、医疗、日常生活等领域也有广泛应用。请仿照示例,另举一例并简要说明其应用。示例:微波炉——利用电磁波加热食物。
08
参考答案
例题1参考答案:(1)不需要持续施加推力。根据牛顿第一定律,一切物体在不受外力作用时,总保持静止状态或匀速直线运动状态。太空中几乎无阻力,探测器依靠惯性即可保持匀速直线运动。
马上中考,物理试题:近期我国有哪些热点科技成果,有望成为题目情境?深度分析,干货满满 第8张
信号到达探测器所需时间为100 s
(3)机械能转化为内能。 探测器与大气剧烈摩擦,动能和重力势能(机械能)转化为热能(内能),使探测器表面温度急剧升高。
例题2参考答案:
马上中考,物理试题:近期我国有哪些热点科技成果,有望成为题目情境?深度分析,干货满满 第9张
例题3参考答案:
(1)可再生能源。核聚变的燃料(氘、氚)可从海水中提取,储量极其丰富。
(2)质量。根据爱因斯坦质能方程,质量亏损转化为巨大能量。
(3)热传递;内能从高温等离子体转移到海水。
(4)两大优势:
①燃料丰富:氘可从海水中提取,储量可供人类使用上亿年;
②清洁环保:核聚变产物主要是氦,无温室气体排放,放射性废物少。
例题4参考答案:
马上中考,物理试题:近期我国有哪些热点科技成果,有望成为题目情境?深度分析,干货满满 第10张
(4)①表格设计如下
马上中考,物理试题:近期我国有哪些热点科技成果,有望成为题目情境?深度分析,干货满满 第11张
②不变。金属块完全浸没后,V排不变,根据阿基米德原理
马上中考,物理试题:近期我国有哪些热点科技成果,有望成为题目情境?深度分析,干货满满 第12张
浮力不变。
③不能。“蛟龙”号需要承受巨大水压是因为液体压强随深度增加而增大(p=ρgh),与浮力大小无关。浮力大小由排开液体体积决定,7000米深处海水密度与海面相近,浮力几乎不变。
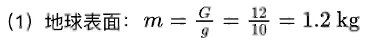
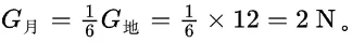
例题5参考答案:
马上中考,物理试题:近期我国有哪些热点科技成果,有望成为题目情境?深度分析,干货满满 第13张
该月壤样品质量为1.2 kg
(2)质量是物体固有属性,不随位置改变:m = 1.2 kg。
月球重力:
马上中考,物理试题:近期我国有哪些热点科技成果,有望成为题目情境?深度分析,干货满满 第14张

3)无关。宇航员的质量不变。跳跃更高的原因是月球引力小(g ≈ g/6),宇航员所受重力小,在同样蹬力下获得的向上加速度更大,因此跳得更高。

例题6参考答案:

1)核裂变。

2)核能 → 内能(热能) → 机械能 → 电能。

3)水源用于冷却。 核反应释放的热能一部分转化为蒸汽的内能推动汽轮机做功,其余废热需要通过冷却水带走,防止设备过热。水作为热传递介质吸收废热,体现了能量转化过程中不可避免有部分能量耗散。

马上中考,物理试题:近期我国有哪些热点科技成果,有望成为题目情境?深度分析,干货满满 第15张
马上中考,物理试题:近期我国有哪些热点科技成果,有望成为题目情境?深度分析,干货满满 第16张
例题7参考答案:
马上中考,物理试题:近期我国有哪些热点科技成果,有望成为题目情境?深度分析,干货满满 第17张
09
科技成果考查趋势总结
趋势特征
具体表现
备考建议
航天情境高频化
天问二号、嫦娥六号、神舟系列轮番入题
重点训练引力、电磁波、运动学相关计算
深海情境压强计算
蛟龙号深潜数据成经典题型
强化液体压强与压力计算,注意单位换算
核能与新能源
EAST核聚变+华龙一号核电
理清能量转化链,辨析能源分类
高铁速度常态化
CR450巩固领跑优势
速度换算、惯性理解要透彻
跨学科阅读增分
短文物化情境+物理原理分析
培养从科技新闻中提取物理信息的能力

希望对你有帮助。

也可以转给有需要的人。

预祝旗开得胜,金榜题名!

关注我,看有趣的科学

抱歉,评论功能暂时关闭!