一个有温度的知识号


因公众号改版推文规则,若您想第一时间收到推文,请把本公众号设为【星标】
步骤如下:
第一步:点击顶部蓝字👉【数学知识集】
第二步:点击右上角👉【•••】
第三步:点击👉【设为星标】
1、试题+答案预览






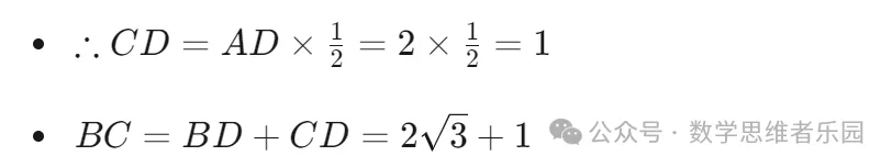
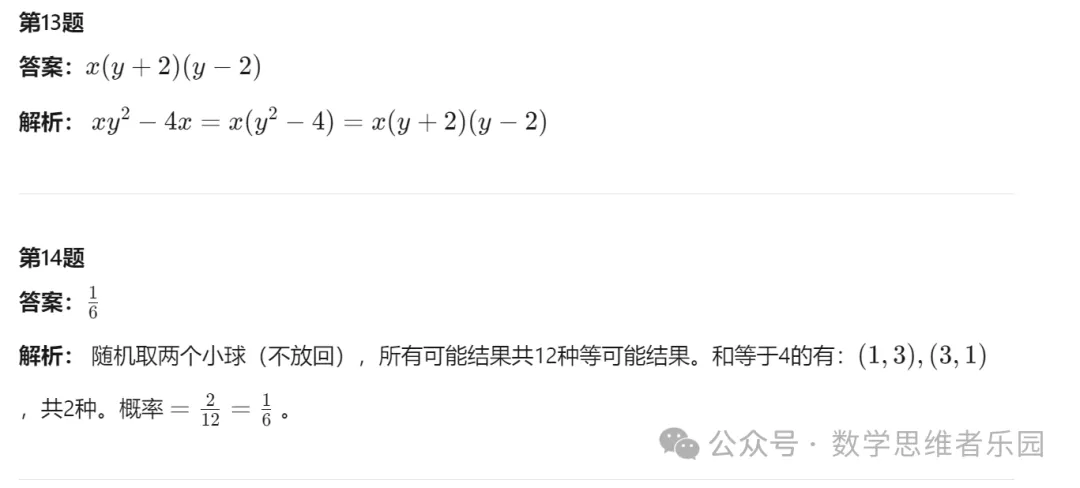
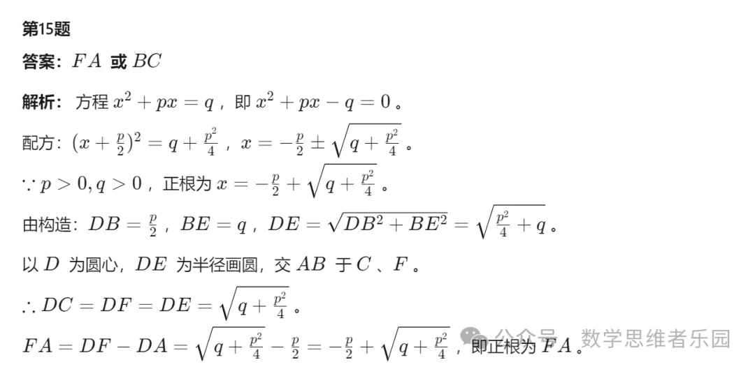
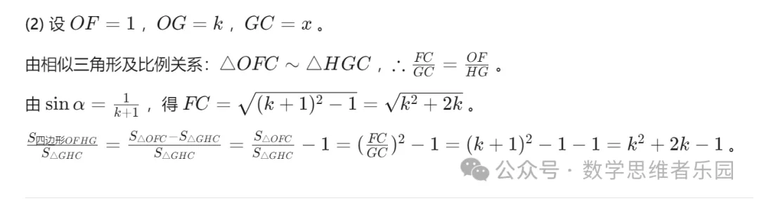
参考答案



【答案详解】



























(篇幅有限 )
2、更多答案解析
添加:小思老师获取
回复:26上城一模数学

数小思

【推荐+双击查看】
喜欢本文就点赞分享吧!
右下角点赞
、点分享、给小编加鸡腿哦!
文章来源:
四季读书网
版权声明:本文内容由互联网用户自发贡献,该文观点仅代表作者本人。本站仅提供信息存储空间服务,不拥有所有权,不承担相关法律责任。如发现本站有涉嫌抄袭侵权/违法违规的内容, 请发送邮件至23467321@qq.com举报,一经查实,本站将立刻删除;如已特别标注为本站原创文章的,转载时请以链接形式注明文章出处,谢谢!