高三联考|山西省太原市2026届高三模拟考试(二)(太原二模)数学试卷及解析(下载链接在最下方评论区)

四季读书网 6 0
高三联考|山西省太原市2026届高三模拟考试(二)(太原二模)数学试卷及解析(下载链接在最下方评论区)
高三联考|山西省太原市2026届高三模拟考试(二)(太原二模)数学试卷及解析(下载链接在最下方评论区) 第1张
联系我加群可以获取更多资料
高三联考|山西省太原市2026届高三模拟考试(二)(太原二模)数学试卷及解析(下载链接在最下方评论区) 第2张
高三联考|山西省太原市2026届高三模拟考试(二)(太原二模)数学试卷及解析(下载链接在最下方评论区) 第3张
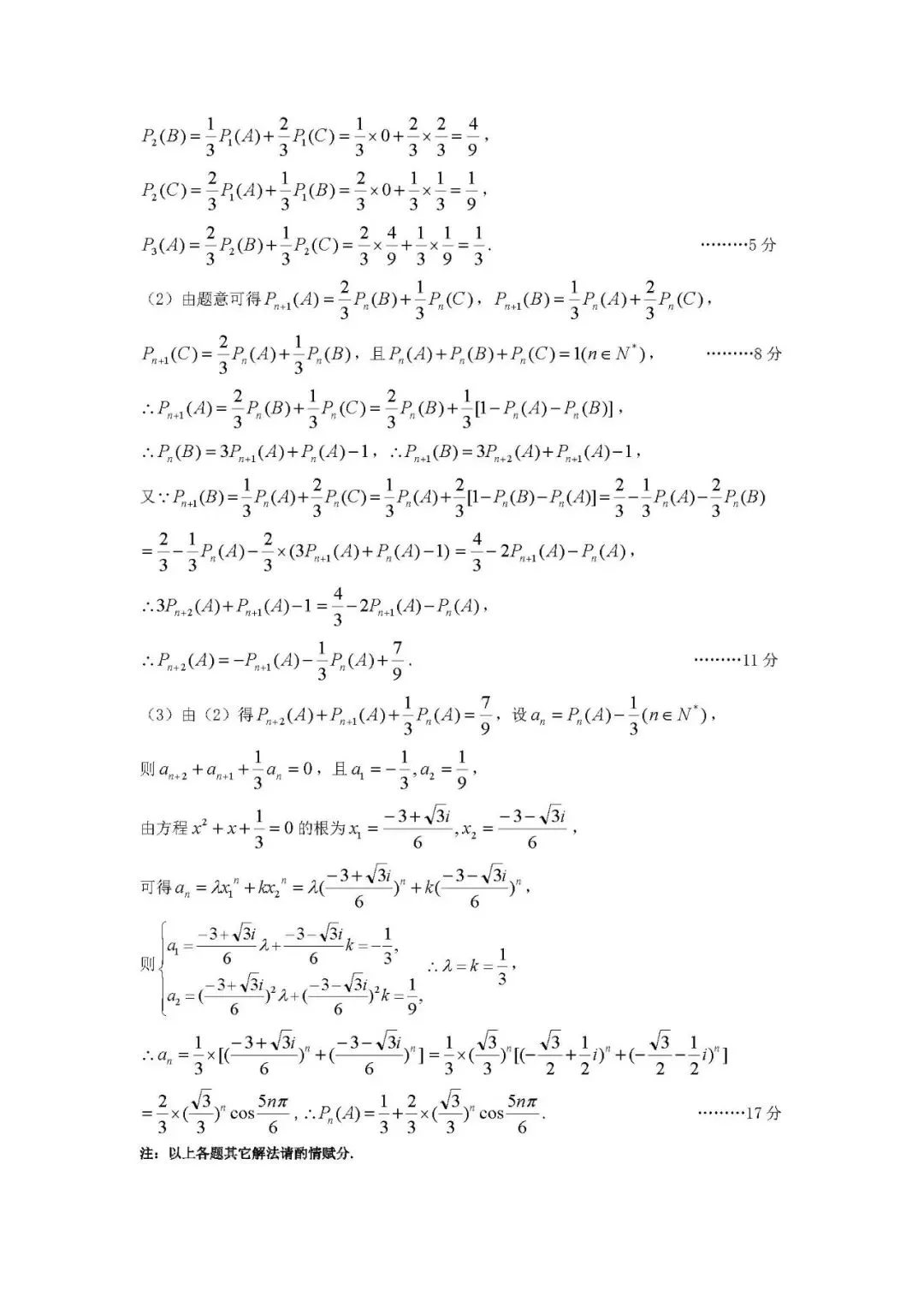
高三联考|山西省太原市2026届高三模拟考试(二)(太原二模)数学试卷及解析(下载链接在最下方评论区) 第4张
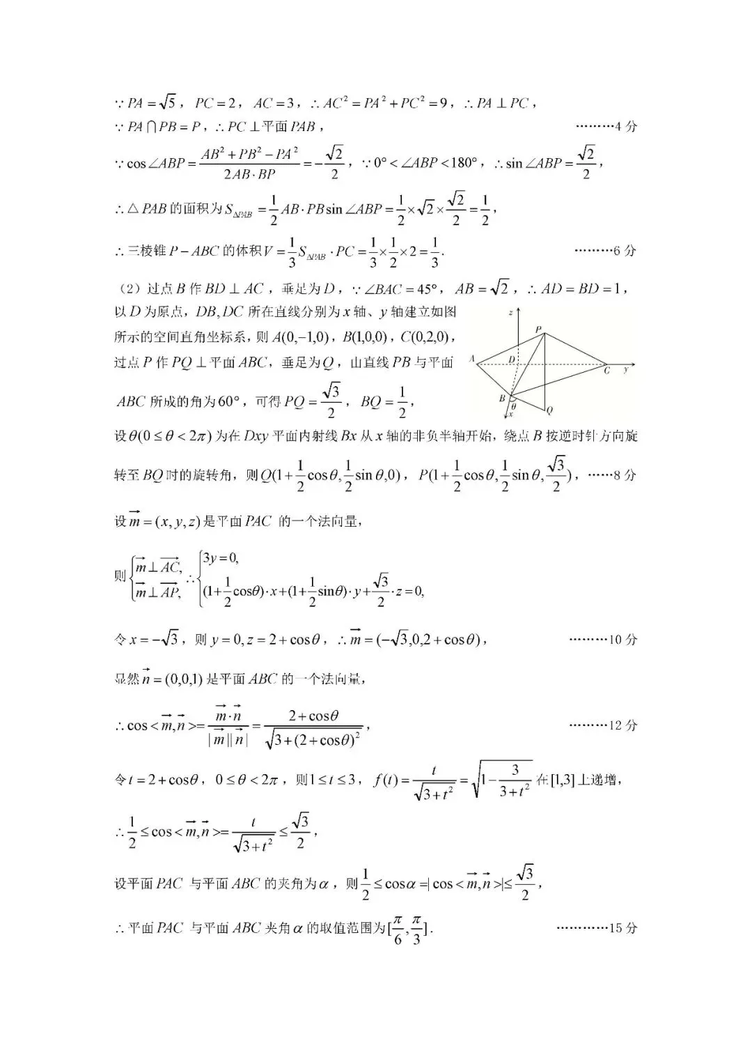
高三联考|山西省太原市2026届高三模拟考试(二)(太原二模)数学试卷及解析(下载链接在最下方评论区) 第5张
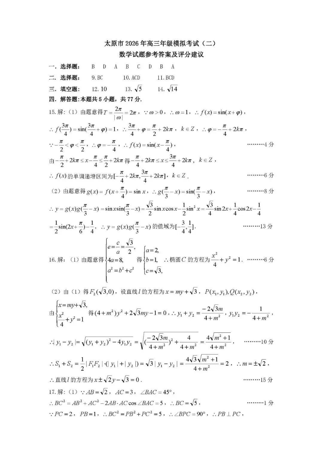
高三联考|山西省太原市2026届高三模拟考试(二)(太原二模)数学试卷及解析(下载链接在最下方评论区) 第6张
高三联考|山西省太原市2026届高三模拟考试(二)(太原二模)数学试卷及解析(下载链接在最下方评论区) 第7张
高三联考|山西省太原市2026届高三模拟考试(二)(太原二模)数学试卷及解析(下载链接在最下方评论区) 第8张
高三联考|山西省太原市2026届高三模拟考试(二)(太原二模)数学试卷及解析(下载链接在最下方评论区) 第9张
试卷来源于网络,如有侵权请联系删除。高三联考|山西省太原市2026届高三模拟考试(二)(太原二模)数学试卷及解析(下载链接在最下方评论区) 第10张
往期回顾
高三联考|2026年九师联盟高三下学期4月测试数学试卷及解析(下载链接在最下方评论区)
高三联考|浙江2026年天域全国名校协作体高三年级4月第二次联考数学试卷及解析(下载链接在最下方评论区)
高三联考|2025-2026河南部分市高三二模数学试卷及解析(下载链接在最下方评论区)
高三联考|广东省深圳市二模2026年深圳市高三年级第二次调研考试数学试卷及解析(下载链接在最下方评论区)
高三联考|2025-2026河南省郑州市高三二测数学试卷及解析(下载链接在最下方评论区)
高三联考|2026年安徽皖南八校高三下学期4月教学质量检测数学试卷及解析(下载链接在最下方评论区)
高三联考|2026届某师联盟高三下学期考前适应性训练(一) 数学试卷及解析(下载链接在最下方评论区)
高三联考|江西“三新”协同教研共同体2026届高三4月学科阶段训练数学试卷及解析(下载链接在最下方评论区)
高三联考|河南省湘豫联盟2026届高三下学期四月阶段检测数学试卷及解析(下载链接在最下方评论区)
高三联考|2026届某师联盟高三核心模拟卷中(六)数学试卷及解析(下载链接在最下方评论区)
高三联考|2025-2026高三T8二联(4月)数学试卷及解析(下载链接在最下方评论区)
高三联考|湖南省雅礼中学2026届高三月考试卷(八)数学试卷及解析(下载链接在最下方评论区)
高三联考|山东省中学联盟2026届高三4月调研数学试卷及解析(下载链接在最下方评论区)
高三联考|2026年3月某鸣内部练数学试卷及解析(下载链接在最下方评论区)
高三联考|2026年3月某鸣内部练数学试卷及解析(下载链接在最下方评论区)
高三联考|2025-2026十堰市九师联盟高三下学期3月调研数学试卷及解析(下载链接在最下方评论区)
高三联考|2026届安徽省示范高中皖北协作区高三下学期第28届联考(一模)数学试卷及解析(下载链接在最下方评论区)
高三联考|江西广东省稳派智慧上进教育联考2026届高三下学期3月二轮复习阶段检测数学试卷及解析(下载链接在最下方评论区)
高三联考|辽宁省点石联考2026届高三年级3月学情调研数学试卷数学试卷及解析(下载链接在最下方评论区)
专题练|高中数学平面向量基本定理专题训练
专题练|高中数学极值点偏移专题训练
高三开学考|河南省信阳高级中学新校(贤岭校区)2026届高三下期3月二轮测试(一)数学试卷及解析(下载链接在最下方评论区)
高三开学考|2026届浙江名校协作体G12联盟高三下学期二模数学试卷(下载链接在最下方评论区)
高三开学考|河北省强基联盟2026届高三下学期3月一模考试数学试卷(下载链接在最下方评论区)
专题练|高二导数在研究函数单调性中的应用章节检测题
专题练|高中数学导数的计算专题训练
专题练|高中数学三角函数中w的取值范围专题训练
高三开学考|2026届湖北省楚天协作体高三下学期开学考试数学试卷(下载链接在最下方评论区)
联考分数线公布:二本分数线57分。别让联考伤了学生的学习底气
严控考试!没了联考,高中教学会变啥样?
高三联考|山西省太原市2026届高三模拟考试(二)(太原二模)数学试卷及解析(下载链接在最下方评论区) 第11张

抱歉,评论功能暂时关闭!