
2026年中考数学常考考点专题之三角形
一.选择题(共13小题)
1.(2025•苍梧县一模)如图是A,B两片木片放在地面上的情形,若∠3=100°,则∠2﹣∠1等于( )

A.55°B.80°C.90°D.100°
2.(2025•南关区校级三模)有一张三角形纸片ABC,已知∠B=∠C=α,按如图两种方案用剪刀沿着箭头方向剪开,若方案中两个阴影部分的三角形一定全等打“√”,不一定全等打“×”,则下列判断正确的是( )

A.方案一:√、方案二:√
B.方案一:√、方案二:×
C.方案一:×、方案二:√
D.方案一:×、方案二:×
3.(2025•滕州市一模)如图,在△ABC中,∠A=90°,AB=AC=6,D为边BC的中点,点E,F分别在边AB,AC上,AE=CF,则四边形AEDF的面积为( )


5.(2025•黄冈校级模拟)如图,在Rt△ABC中,AB=AC,D、E是斜边BC上两点,且∠DAE=45°,若BD=3,CE=4,则△ABC的面积为( )

A.36B.38C.40D.42
6.(2025•连州市模拟)如图,三角形三条边的垂直平分线相交于一点,则以下正确的是( )

A.AB=PB
B.BC=AC
C.AC=AP
D.PA=PB=PC
7.(2025•潍坊)如图,甲、乙、丙三人分别沿不同的路线从A地到B地.
甲:A→C→B,路程为l甲.
乙:A→D→E→F→B,路程为l乙.
丙:A→G→H→B,路程为l丙.
下列关系正确的是( )

A.l甲>l乙>l丙B.l乙>l甲>l丙
C.l甲>l丙>l乙D.l甲=l乙>l丙
8.(2025•高要区一模)如图,已知正方体展开图中线段AB的长是10,则正方体的棱长在( )

A.1与2之间B.2与3之间C.3与4之间D.4与5之间
9.(2025•运城二模)每年的3月14日为国际数学日(简称IDM),是由国际数学联盟发起的一项全球性的庆祝活动.2025年国际数学日主题:数学、艺术和创造力.某班级计划从以下3个数学元素:①π(圆周率);②黄金分割比;③勾股定理中随机选取2个设计一幅制作展板,则π(圆周率)和勾股定理被同时选中的概率为( )

10.(2025•舞阳县模拟)如图,一束平行于主光轴的光线经凸透镜折射后,其折射光线与一束经过光心O的光线相交于点P,点F为该凸透镜的焦点.若∠1=150°,∠3=50°,则∠2的度数为( )

A.20°B.25°C.30°D.35°
11.(2025•港北区一模)如图所示为雷达图,规定:1个单位长度代表100m,以点O为原点,过数轴上的每一刻度点画同心圆,并将同心圆平均分成十二等分.一艘海洋科考船在点O处用雷达发现A,B两处鱼群,那么A,B两处鱼群的距离是( )

A.5mB.400mC.500mD.300m
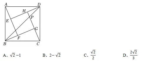
12.(2025•西宁)如图,用四个全等的直角三角形拼成“赵爽弦图”,得到大正方形ABCD和小正方形EFGH,连接BD交CH于点P.若BP=BC,则tan∠CBG的值是( )

13.(2025•光泽县模拟)如图,P是线段AB所在直线上的一动点,点C,D在AB的两侧,CA⊥AB,DB⊥AB,AB=4,AC=3,DB=2,连接PC,PD,分别取PC,PD的中点M,N,连接MN.随着点P的运动,线段MN的长( )

二.填空题(共7小题)
14.(2025•珠海校级一模)如图,一根橡皮筋放置在x轴上,固定两端A和B,其中A点坐标(0,0),B点坐标(8,0),然后把中点C向上拉升3cm到D,则橡皮筋被拉长了cm.

15.(2025•分宜县模拟)如图,△ABC是等腰直角三角形,BC=6,E,F是斜边BC上的两动点,∠EAF=45°,CD⊥BC且CD=BE.若△CDF中有一条边恰好等于另一条边的2倍,且∠DFC≠30°,则BE的长为.

16.(2025•济源一模)已知在△ABC中,AC=6cm,点D、E分别是AC、BC的中点,连接DE,在DE上有一点F,EF=1cm,连接AF,CF,若AF⊥CF,则AB=.

17.(2025•中卫校级二模)如图,将一副三角板和一张对边平行的纸条按下列方式摆放,两个三角板的一直角边重合,含30°角的直角三角板的斜边与纸条一边重合,含45°角的三角板的一个顶点在纸条的另一边上,则∠1的度数为 .


19.(2025•永城市模拟)如图,四边形ABCD为正方形,AB=4,P是直线CD上一动点,连接AP,作DQ⊥AP,垂足为Q,则BQ的最小值为,最大值为.

20.(2025•江都区二模)如图所示的网格是正方形网格,图形的各个顶点均为格点,则∠1+∠2= .

三.解答题(共5小题)
21.(2025•琼中县一模)三亚南山海上观音是世界上最高的观音像.某数学实践小组利用所学的数学知识测量观音像的高度AB,如图,该数学实践小组在点C处测得观音像顶端A的仰角为45°,然后沿斜坡CD行走40m到点D处.已知∠ACD=105°(点A,B,C,D在同一平面内).

(1)过点D作DE⊥BC交BC的延长线于点E,则∠DCE=;DE=m;
(2)求CE的长度.
22.(2025•琼中县一模)如图,在菱形ABCD中,AB=5,BD为对角线,点E是边AB延长线上任意一点,连接DE交BC于点F,BG平分∠CBE交DE于点G,BD=6.

(1)求证:△ABD≌△CBD;
(2)求证:∠DBG=90°;
(3)求菱形ABCD的面积;
23.(2025•曲靖模拟)如图,AC与DE交于点O,且OE=OC,点E,C在BF上,BE=CF,∠A=∠D.求证:AB=DF.

24.(2025•樊城区校级模拟)如图,在△ABC中,AB=AC,BD是三角形ABC的高,用尺规作图的方法作出射线CP交AB于点E,交BD于点O.

(1)判断用尺规作出的CP是;
(2)求证:BE=CD.
25.(2025•洮南市模拟)如图,在△ABC中,AD平分∠BAC,E是CA延长线上的一点,EG∥AD,交AB于点F.求证:AE=AF.

