小升初数学分值分布概览

🖋计算题具体考什么?(三大核心)
计算题不仅仅是简单的加减乘除,在小升初中,它更侧重于技巧性和准确性。
1. 直接写得数(口算/速算)
•占比: 约5%-10%。
•内容: 整数、小数、分数的四则运算,简单的百分数转换。
•要求: 速度要快,这是拿分的基础。
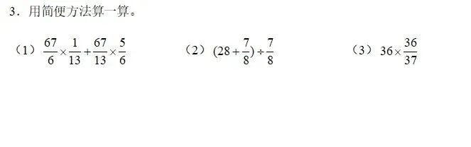
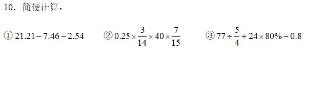
2. 脱式计算(简便运算)—— 重中之重
•占比: 约10%-15%。
•核心考点: 这是计算题中最容易拉开差距的地方。重点考查乘法分配律(及其逆运算)、提取公因数、凑整法(如25×4, 125×8)、裂项相消(分数计算中常见)。
•例子: 像 10.1×99−9.9 或
这类题目,必须用简算,硬算既慢又容易错。
3. 解方程与解比例
•占比: 约5%-10%。
•内容: 涉及分数、小数的方程,或者比例式求解(如 x:3=4:5 )。
•趋势: 现在的题目可能会结合新定义运算(如规定 a∗b=5a−b ),考查学生对符号的理解。
对于即将小升初的学子,日常应重点练习乘法分配律的变式(如拆数、凑整),做到此类题型得心应手,不失分。
在此分享一些《简便计算训练题》,有需要的朋友可后台私信领取!


文章来源:
四季读书网
版权声明:本文内容由互联网用户自发贡献,该文观点仅代表作者本人。本站仅提供信息存储空间服务,不拥有所有权,不承担相关法律责任。如发现本站有涉嫌抄袭侵权/违法违规的内容, 请发送邮件至23467321@qq.com举报,一经查实,本站将立刻删除;如已特别标注为本站原创文章的,转载时请以链接形式注明文章出处,谢谢!