【广东卷】备战 2026 年中考数学真题变式阶梯训练第 21~23 题(三)

四季读书网 5 0
【广东卷】备战 2026 年中考数学真题变式阶梯训练第 21~23 题(三)
【广东卷】备战 2026 年中考数学真题变式阶梯训练第 21~23 题(三) 第1张
【广东卷】备战 2026 年中考数学真题变式阶梯训练第 21~23 题(三) 第2张
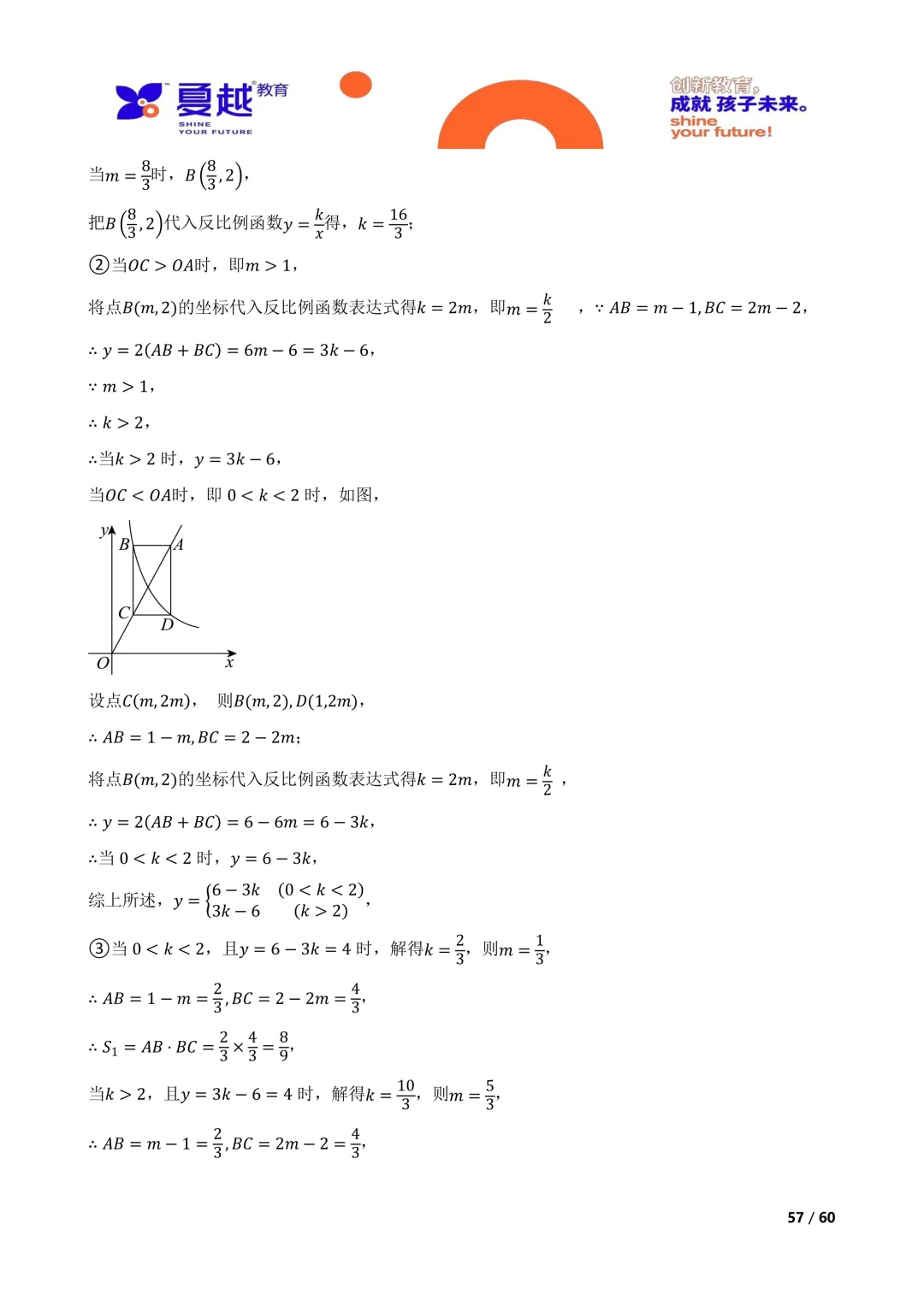
【广东卷】备战 2026 年中考数学真题变式阶梯训练第 21~23 题(三) 第3张
【广东卷】备战 2026 年中考数学真题变式阶梯训练第 21~23 题(三) 第4张
【广东卷】备战 2026 年中考数学真题变式阶梯训练第 21~23 题(三) 第5张
【广东卷】备战 2026 年中考数学真题变式阶梯训练第 21~23 题(三) 第6张
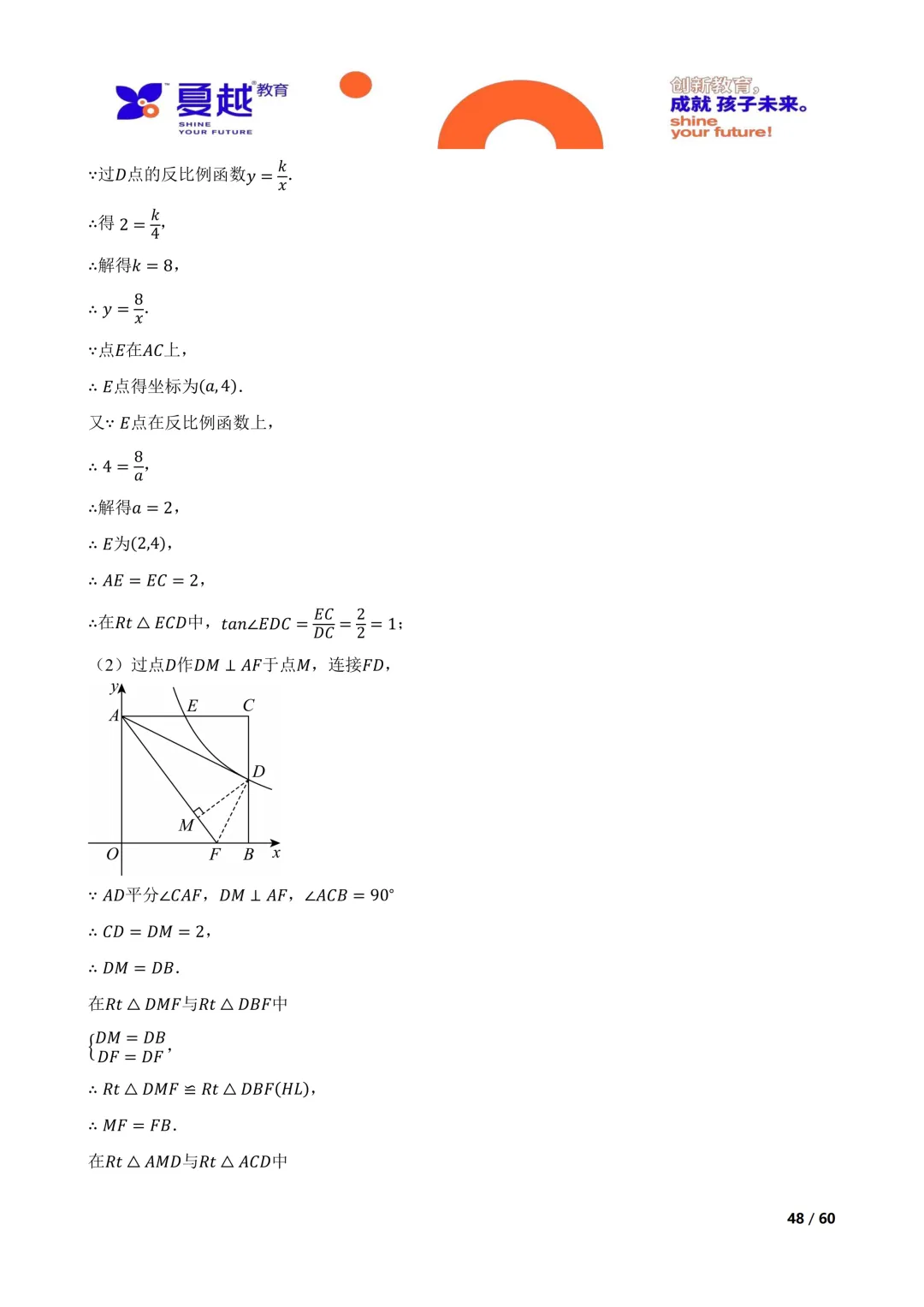
【广东卷】备战 2026 年中考数学真题变式阶梯训练第 21~23 题(三) 第7张
【广东卷】备战 2026 年中考数学真题变式阶梯训练第 21~23 题(三) 第8张
【广东卷】备战 2026 年中考数学真题变式阶梯训练第 21~23 题(三) 第9张
【广东卷】备战 2026 年中考数学真题变式阶梯训练第 21~23 题(三) 第10张
【广东卷】备战 2026 年中考数学真题变式阶梯训练第 21~23 题(三) 第11张
【广东卷】备战 2026 年中考数学真题变式阶梯训练第 21~23 题(三) 第12张
【广东卷】备战 2026 年中考数学真题变式阶梯训练第 21~23 题(三) 第13张
【广东卷】备战 2026 年中考数学真题变式阶梯训练第 21~23 题(三) 第14张
【广东卷】备战 2026 年中考数学真题变式阶梯训练第 21~23 题(三) 第15张
【广东卷】备战 2026 年中考数学真题变式阶梯训练第 21~23 题(三) 第16张
【广东卷】备战 2026 年中考数学真题变式阶梯训练第 21~23 题(三) 第17张
【广东卷】备战 2026 年中考数学真题变式阶梯训练第 21~23 题(三) 第18张
【广东卷】备战 2026 年中考数学真题变式阶梯训练第 21~23 题(三) 第19张
【广东卷】备战 2026 年中考数学真题变式阶梯训练第 21~23 题(三) 第20张

抱歉,评论功能暂时关闭!