中考模拟
2026杭州市临平区中考模拟数学卷





答案解析
难题解析


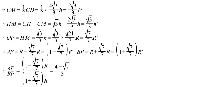
解:过点P作PH⊥CD于点H,连接OC,过点O作OM⊥CD于点M,设半圆O的半径为R,则圆心O到弦CD的距离为h,



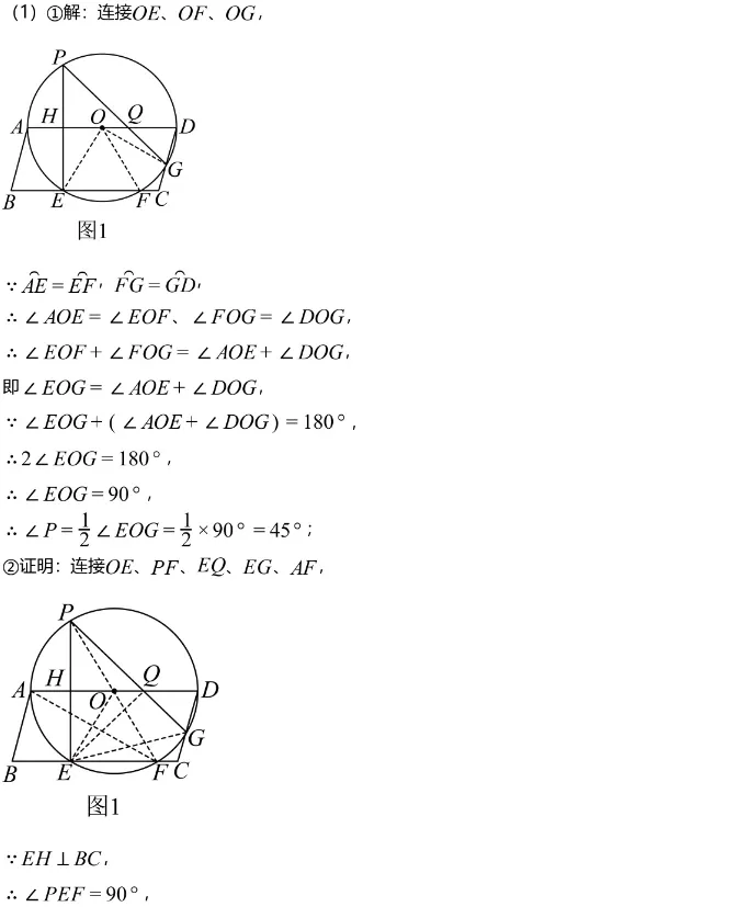
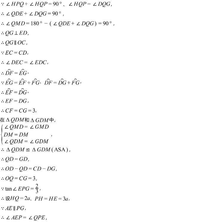
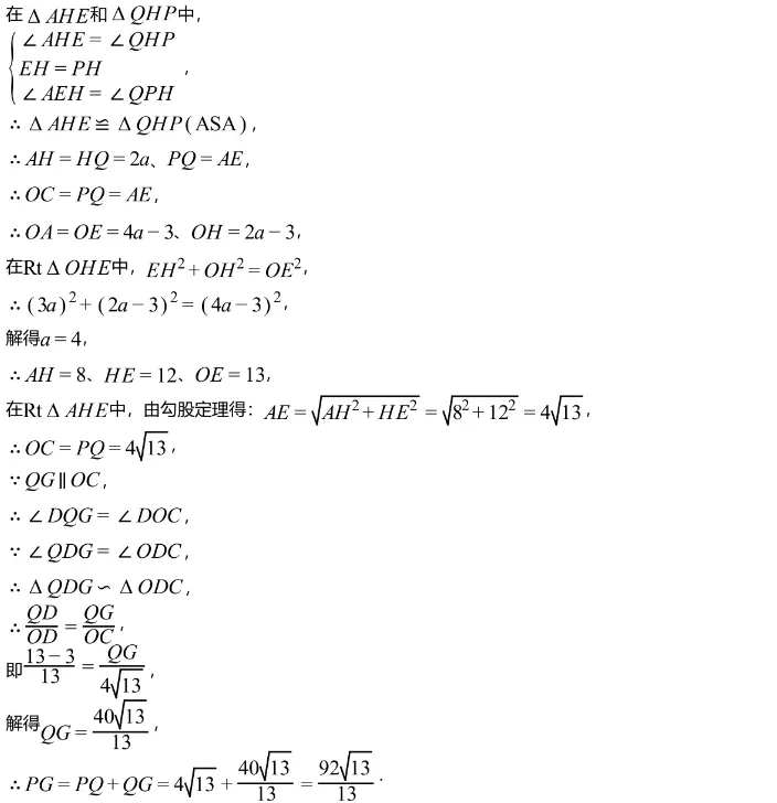
本题考查圆周角定理、平行四边形与菱形的判定与性质、垂径定理、全等三角形和相似三角形的判定与性质、勾股定理,熟练掌握相关性质定理,数形结合的思想方法的运用是解题的关键。





初中数学精品资料
七年级数学资料
八年级数学资料
九年级数学资料
2026中考模拟
2025中考数学压轴题解析
更新中.........
2025中考真题
更新中.........
中考数学最值微课
更新中.........
中考数学知识拓展
更新中.......
文章来源:
四季读书网
版权声明:本文内容由互联网用户自发贡献,该文观点仅代表作者本人。本站仅提供信息存储空间服务,不拥有所有权,不承担相关法律责任。如发现本站有涉嫌抄袭侵权/违法违规的内容, 请发送邮件至23467321@qq.com举报,一经查实,本站将立刻删除;如已特别标注为本站原创文章的,转载时请以链接形式注明文章出处,谢谢!