26上财431整体难度稳中略降、基础回归,题型出现计算量减、单题分值抬升、论述全宏观的明显变化;命题范围重宏观、重国金、轻金风,命题趋势更强调教材基础+热点结合+反套路。

整体:中等偏易,比25年简单。
选择题:前17道宏观 “秒答”,微观计算类略难,但数据友好、无计算器也能算。
计算题:5题×12分(25年为6题×10分),总分60不变;难度分化:货金略升、国金略升(考画图+期权)、公司理财明显下降。
论述题:3题全宏观,基础题占比高(如金本位特征),热点题(碳资产、货币政策)。
难度:基础化、常规化、低容错(单题分值高,错一题丢12分)。
选择题:30题×2分不变,总分60
计算题:6→5题,单题10→12分,总分60
取消往年必考的金融机构与风险管理计算,首次空缺此模块。
国金权重上升:考2道(互换+期权外汇风险管理),货银1道(货币乘数),公司理财2道(资本结构+税盾)。
论述题:史上首次3题全宏观。
往年规律:2宏1微;2026:3宏观(1道金融史+2道热点)。
宏观占比显著抬升,微观仅保留资本结构、投资学基础计算。
科目权重剧变:宏观(货金+国金)占比大幅提升,微观(公司理财+投资学)占比收缩,整体宏观主导。
核心高频考点
货金:货币制度、货币供给与乘数、央行职能、货币政策工具及传导;
国金:汇率理论、国际收支、互换、外汇期权、汇率制度;
公司理财:资本结构、贝塔卸载加载、税盾、资本成本、基础估值;
投资学:仅考查 CAPM、有效市场、久期等基础概念,无复杂计算。
冷门模块异动:往年必考的金融机构风险管理、VaR、久期缺口内容完全未考查。
题型考点偏向:计算侧重国金、货金、公司理财;论述全部聚焦宏观理论 + 金融热点,无微观论述题。
基础回归,拒绝偏难怪:无超纲题,90% 为教材核心考点 + 常规热点,吃透教材 = 拿下 80% 分数。
宏微观权重 “摇摆”,不可偏废:2026 宏观占比 有所上升,2027 可能回归 “宏 40: 微 60”,微观论述仍需准备。
计算题:量少、分高、重国金、轻金风;国金(互换/期权/汇率)必考,金风可能继续缺席或改为选择。
论述题:基础+热点,全宏观概率高:金融史(如货币制度)+当年核心热点(绿色金融、货币政策、金融开放),理论+实务结合。
真题复现率高,教材课后题是宝藏:26计算题改编自18/23真题、郭丽虹课后题,真题+教材例题/课后题必须二刷。
难度中等偏易,专业课110-125 分属正常区间。
核心变化:计算容错率降低、宏观权重抬升、金风降温、国金升温、基础回归。

复习重心回归教材基础,不钻偏难怪;宏微观均衡备考,警惕宏观权重持续偏高,同时补齐金融机构与风险管理内容,防止反向出题。
书目与习题以核心教材为主,吃透例题+课后题;反复刷历年真题,重视原题、改编题的复现规律。
专项突破重点强化国金计算(互换、外汇期权)、货金货币乘数、公司理财资本结构相关计算。
论述备考兼顾宏观理论+年度金融热点,搭建标准化答题框架;不能只准备宏观,补充微观论述素材,应对题型回弹。
节奏与应试分基础—强化—冲刺三阶规划;后期定时全真模考,训练计算手写速度与答题时间分配,规范计算题步骤书写。

26上财431是基础回归、宏升微降、计算重国金、论述重热点的一年;27备考需吃透教材、真题为王、强化国金计算、准备宏微观论述、关注核心热点,拒绝偏难怪,基础扎实 = 高分上岸。
26上财431真题现已公布!受回忆版限制,选择题内容暂不完整,本次仅整理展示计算题 + 论述题原题。
本次试卷5道计算题,述飞课程全覆盖;3道论述题,课程覆盖2道。实力对标真题,效果一目了然!
A公司和B公司需筹集1000万元资金,借款成本如下:

两家公司互换,A公司按照固定利率5%借款,B公司按照浮动LIBOR+1.0%借款,互换后A公司向B公司支付LIBOR+0.1%,B公司向A公司支付5.4%,且无互换中介费用。
(1)分别计算A公司和B公司互换后的实际借款成本;
(2)A公司和B公司互换的效果。
【参考答案】
(1)A的实际借款成本=5%+(LIBOR+0.1%)-5.4%=LIBOR-0.3%
B的实际借款成本=LIBOR+1%-(LIBOR+0.1%)+5.4%=6.3%
(2)互换前,A的浮动利率借款成本为LIBOR+0.3%,互换节约的成本=LIBOR+0.3%-(LIBOR-0.3%)=0.6%
互换前,B的固定利率借款成本为6.5,互换节约的成本=6.5%-6.3%=0.2%
通过利率互换,A和B一共可节约成本0.8%。



出处:述飞《投资学》课程
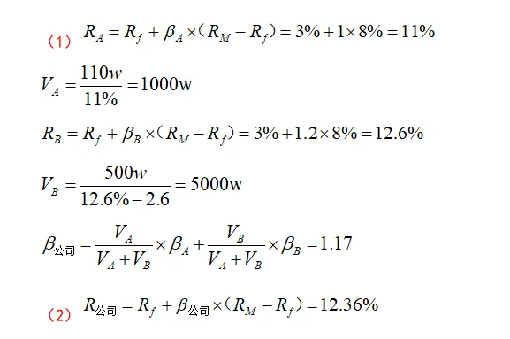
某公司是一家全权益公司,部门A无杠杆β值是1.0,预计每年会产生110万元的自由现金流,且为永续性的。部门B的无杠杆β值为1.2,预计未来第一年产生500万元自由现金流,且其永续增长率为2.6%。假设无风险利率为3%,市场风险溢价为8%。
(1)计算公司β;
(2)计算权益资本成本。
【参考答案】


出处:述飞《公司金融》基础课
在某个初始时间点,基础货币H0为2000亿元,法定存款准备金率为r0=5% 超额准备金率e0=10% 现金漏损率c=10%。人民银行实施以下组合政策:公开市场净买入200亿国债,并在到期时不再续作100亿MLF;同时调整法定存款准备金率至r1=10%,假设政策公布后超额准备金保持不变
(1)计算政策前的货币乘数m0和广义货币M0;
(2)计算政策实施后的基础货币H1,货币乘数 m1和广义货币M1;
(3)计算货币供给的变动M1-M0。
【参考答案】


出处:述飞《货币金融学》基础课
某美国企业的德国分公司将在九个月之后收到一笔100万欧元的货款,为了规避欧元贬值风险,购买了20张执行汇率为1欧元=1.2美元的欧式欧元看跌期权,期权费为每欧元0.02美元
(1)请画出该公司购买欧元看跌期权的收益曲线横轴为汇率(USD/EUR)纵轴为收益(万美金),并标出盈亏平衡点汇率;
(2)若合约到期日的即期汇率为1欧元=1.1美元,计算该公司的损益结果。
【参考答案】



出处:述飞《货币金融学》课程
某公司资产在一年后的市场价值有80%的概率为5000万元,有20%的概率为2000万元,当前无风险收益率为5%,公司的资本成本为10%。
(1)如果该公司是无杠杆企业,其股权的当前市场价值是多少?
(2)假设该公司一年后发生了2500万元的无风险债务,根据MM理论,该公司的股权价值是多少?
(3)有杠杆情况下,公司的权益资本成本是多少?
【参考答案】


出处:述飞上财431课后题精讲
论述金本位制的主要特征
【答题要点】
金本位制是以黄金为本位货币的货币制度,依据黄金与货币的关联方式,可细分为金币本位制、金块本位制和金汇兑本位制三类。其中,金币本位制是最为典型、完善的金本位制度,而金块本位制与金汇兑本位制则属于残缺形式的金本位制。
在金币本位制下,各国货币均明确规定法定含金量,不同货币的含金量之比构成铸币平价,这是决定各国汇率的基础。市场汇率会围绕铸币平价,随外汇市场供求关系小幅波动,但波动幅度严格受黄金输入点与黄金输出点的限制。由于黄金能够在各国间自由输出入,汇率不会突破黄金输送点的边界,这就保障了各国货币汇率的相对稳定,由此形成了固定汇率制度。
同时,在实行金币流通的国家,金币可自由铸造。这一机制能使金币的面值与所含黄金的实际价值保持一致,金币的流通数量也可自发适配市场货币需求,从而起到调节货币供求的作用,维持国内价格水平的相对稳定。
不过,金本位制存在难以克服的固有缺陷:一是货币供应量受黄金储量限制,无法灵活满足经济发展对货币的实际需求;二是黄金在各国间的均衡分配缺乏有效保障,易引发货币供应的地区性失衡;三是国际收支调节责任在各国间分配不对称,调节成本往往由顺差国或逆差国单方面承担;四是大量黄金被用作货币储备,造成了社会资源的闲置与浪费。这些缺陷最终导致金币本位制难以维系,金块本位制和金汇兑本位制随之应运而生。

出处:述飞《货币金融学》课程
碳排放权和国家核证自愿减排量(CCER)作为抵押物的贷款资产,是指企业将其持有的碳排放配额或CCER作为质押标的获取融资的金融工具,旨在盘活碳资产的流动性,支持减污降碳项目。结合所学,从金融市场融资功能和风险管理等角度,回答下列问题:
(1)碳资产抵押贷款和传统抵押贷款(如房地产)相比,在金融功能实现上有哪些创新特征(要包含拓宽融资渠道及引导资金进入绿色领域);
(2)碳资产作为抵押品面临哪些核心挑战(从估值、流动性、风险缓释机制等角度分析)
【答题要点】
定义:碳资产抵质押融资是指碳资产持有者(借方)将碳排放权配额、碳减排量、未来预期碳减排量等碳资产作为质物/抵押物,向资金提供方(贷方)抵质押以获取贷款,到期还本付息后解押的融资合约,是金融市场功能与碳市场机制结合的绿色金融创新模式。
(1)碳资产抵押在金融功能实现上的创新特征
①拓宽融资渠道:突破传统抵押品边界,激活绿色资产价值
传统房产抵押依赖实体固定资产,而碳资产抵押将“无形的环境权益”转化为“可抵押的金融资产”,突破了传统抵押品的物质形态限制。一方面,让原本缺乏优质固定资产抵押的中小低碳企业、绿色项目主体(如林业碳汇项目企业)获得融资可能——这类主体往往拥有碳配额、核证碳减排量(CCER)等资产,但难以通过传统抵押获得资金,碳资产抵押为其开辟了专属融资通道;另一方面,未来预期碳减排量抵押(如林业碳汇模式)引入“未来收益权抵押”理念,将项目长期环境效益提前转化为当期融资能力,进一步拓展了融资边界,丰富了市场融资工具类型。
②引导资金精准流入绿色领域,强化金融资源配置功能
从金融市场资金融通功能来看,碳资产抵押通过“融资与绿色减排强绑定”的机制,实现资金的定向引流。
1. 碳减排量抵质押模式下,融资资格与企业节能减排成果直接挂钩,只有主动开展低碳技术改造、实施绿色项目并产生核证减排量的企业才能获得融资,反向激励企业加大绿色投入;
2. 林业碳汇等未来预期减排量抵押模式,引导资金流向长期生态修复项目,这类项目传统融资意愿低,碳资产抵押通过价值量化解决了其融资难题;
3. 相比传统抵押贷款资金流向的泛化,碳资产抵押通过碳市场机制锁定资金用途,确保金融资源精准服务于“双碳”目标,实现了金融资金融通与绿色发展的深度协同。
③创新风险管理逻辑,衔接碳市场与金融市场风险缓释
传统房产抵押依赖资产实体价值稳定性,碳资产抵押则构建了“碳市场机制+多元担保”的创新风险管理体系。通过引入固定资产补充担保、绿色保险等工具,将碳资产的环境风险与传统风控手段结合;同时,碳资产价值与碳市场碳价挂钩,推动金融机构主动关注碳市场动态,将环境风险纳入信用风险评估框架,实现了金融风险管理与环境风险防控的衔接,丰富了金融市场风险管理的维度。
(2)碳资产作为抵押品的核心挑战
①估值难题:价值量化体系不完善,估值准确性存疑
当前主流估值以市场法为核心,通过“碳资产公允价值×质押率”确定贷款金额,而公允价值主要依赖碳市场价格,但存在多重瓶颈:
1. 碳市场基础不完善,我国碳市场存在活跃度低、流动性不足、碳价波动剧烈、交易主体同质化、交易“潮汐式”集中(履约期交易密集,其余时段清淡)等问题,导致碳价难以真实反映碳资产的长期内在价值,估值基准不可靠;
2. 产品体系缺失,缺乏碳期货等远期定价工具,无法有效对冲碳价波动风险,难以精准测算碳资产未来价值;
3. 专业支撑不足,金融业碳资产管理专业人才匮乏,成熟的第三方估值机构供给不足,难以对碳资产(尤其是未来预期减排量)进行多维度精准评估——未来预期减排量需综合考量生物物理特征、碳汇计量方法、政策环境变化、市场供需趋势等,当前评估标准不统一,进一步加剧了估值难度;
4. 质押率差异过大(36%~96%),机构仅能通过调整质押率应对估值不确定性,导致业务标准不统一,限制大规模推广。
②流动性困境:变现渠道单一,处置难度高
碳资产抵押品的流动性直接决定金融机构的风险缓释能力,当前存在显著短板:
1. 优质抵押品供给与需求错配,金融机构为规避履约清缴冲突风险,偏好接受企业超额持有(超出履约需求)的碳配额,但这类优质碳资产多集中于大中型国企,其融资渠道广、成本低,对碳资产质押贷款需求有限;而中小低碳企业的碳资产多为刚需履约配额,难以满足抵押要求,优质抵押品实际供给不足;
2. 处置渠道单一且低效,抵押品处置主要依赖全国/地方碳市场及CCER交易系统,这些市场本身流动性不足,叠加碳配额存在履约清缴期限“硬约束”,导致抵押品处置速度慢、折价率高;
3. 收益风险比失衡,碳资产质押贷款利率仅持平或略高于LPR,而处置风险高、管理成本高,金融机构开展业务的内生动力不足,进一步限制了市场流动性的提升。
③风险缓释机制不健全,全链条风险防控不足
碳资产抵押的风险缓释体系尚未形成闭环:
1. 环境风险传导风险,碳资产价值与政策、技术、气候变化等环境因素强相关,若碳减排政策调整、低碳技术突破导致碳资产贬值,将直接引发抵押品价值缩水,而当前缺乏针对此类环境风险的专项缓释工具(如碳资产贬值保险);
2. 履约与抵押冲突风险,碳配额核心功能是满足企业履约清缴,若企业到期无法还本付息,金融机构处置抵押配额可能与企业履约需求冲突,引发法律纠纷和处置障碍;
3. 跨市场风险协同防控缺失,碳市场与金融市场的风险监测、预警机制未有效衔接,金融机构难以实时掌握碳资产的价值变动和市场风险,风险处置的及时性和有效性不足。
④配套机制缺失:政策、法律与市场体系支撑不足
碳资产抵押的顺利推进依赖完善的配套机制,当前存在明显短板:
1. 法律界定不清晰,碳资产的产权属性、抵押登记流程、处置权限等缺乏统一的法律规范,导致抵押合同效力、处置流程存在不确定性;
2. 政策稳定性不足,碳市场配额分配规则、CCER项目备案标准等政策调整频繁,加剧了碳资产价值的不确定性;
3. 市场基础设施不完善,碳资产的登记、托管、清算等配套服务体系不健全,增加了抵押品管理成本和操作风险。
适中宽松货币政策下,央行采取了①下调存款准备金率 ②下调政策利率 ③开展中期借贷便利(MLF)操作 ④增加再贷款再贴现额度 ,要继续实施适度宽松的货币政策,把促进经济稳定增长、物价合理回升作为货币政策的重要考量。
问:
(1)逐一解释每个央行政策工具的含义及传导机制(渠道)是如何运作?
(2)为何央行要将促进物价的合理回升作为当前货币政策的重要考量目标?
【参考答案】
(1)各货币政策工具的含义及传导机制
① 下调存款准备金率
含义:存款准备金率是指金融机构按规定向中央银行缴存的存款准备金占其存款总额的比例。下调存款准备金率,意味着金融机构缴存的准备金减少,可用于发放贷款的超额准备金增加。
传导机制:
直接影响:法定存款准备金率↓ → 金融机构超额准备金↑ → 可贷资金规模↑
信贷渠道:可贷资金↑ → 金融机构降低贷款利率、扩大信贷投放 → 企业融资成本↓、居民消费信贷门槛↓ → 投资需求和消费需求↑
货币乘数渠道:存款准备金率↓ → 货币乘数↑ → 基础货币派生能力增强 → 社会货币供应量↑ → 市场流动性宽松 → 降低市场利率水平 → 刺激总需求,推动经济增长
② 下调政策利率
含义:政策利率是中央银行调控市场利率的基准利率,我国常用的政策利率包括逆回购利率、中期借贷便利(MLF)利率等。下调政策利率即直接降低央行向金融机构提供资金的成本。
传导机制
利率传导渠道:政策利率↓ → 金融机构从央行融资成本↓ → 金融机构下调贷款市场报价利率(LPR)及各类贷款利率 → 企业和居民的融资成本↓
资产价格渠道:政策利率↓ → 市场无风险利率↓ → 资金从固定收益类资产流向股票、房地产等风险资产 → 资产价格↑ → 居民财富效应增强(消费↑)、企业托宾 Q 效应提升(投资↑)
汇率渠道:政策利率↓ → 本外币利差收窄 → 资本外流压力加大 → 本币汇率贬值 → 出口商品价格竞争力提升 → 净出口↑
③ 开展中期借贷便利(MLF)操作
含义:中期借贷便利(MLF)是中央银行提供中期基础货币的货币政策工具,期限通常为 3 个月、6 个月或 1 年,对象为符合宏观审慎管理要求的商业银行、政策性银行。央行通过招标方式向金融机构投放资金,金融机构需提供国债、央行票据等优质资产作为抵押。
传导机制
流动性补充渠道:央行开展 MLF 操作 → 向金融机构注入中期流动性 → 金融机构资金面宽松 → 缓解中期资金压力,稳定信贷投放能力
利率引导渠道:MLF 利率作为中期政策利率 → 其利率水平直接影响 LPR 的定价(LPR = MLF 利率 + 加点) → 引导中期市场利率下行 → 降低企业中长期融资成本(如固定资产投资贷款)
结构调节渠道:央行可通过 MLF 的抵押品范围调整、定向投放,引导资金流向小微企业、绿色发展等重点领域 → 优化信贷结构,支持实体经济薄弱环节
④ 增加再贷款再贴现额度
含义:再贷款:央行向金融机构发放的贷款,期限涵盖短期、中期和长期,用于满足金融机构的流动性需求或定向支持特定领域。
再贴现:金融机构将未到期的已贴现商业汇票转让给央行,以获得资金融通。增加再贷款再贴现额度,即扩大央行通过这两类工具向金融机构提供资金的规模。
传导机制
定向流动性渠道:再贷款再贴现额度↑ → 金融机构可从央行获取更多低成本资金 → 尤其是中小银行的流动性得到补充 → 增强其服务小微企业、“三农” 等薄弱领域的能力
信贷引导渠道:央行可对再贷款再贴现设置定向要求(如普惠小微再贷款) → 金融机构需将获得的资金投向指定领域 → 精准增加小微企业、涉农主体的信贷供给 → 降低这类主体的融资难度和成本
票据市场渠道:再贴现额度↑ → 金融机构办理票据贴现的意愿增强 → 企业通过票据融资的成本↓、效率↑ → 缓解企业短期资金周转压力
(2)央行将物价合理回升作为重要考量目标的原因
防范通货紧缩风险:当物价持续低迷甚至出现负增长时,会引发通货紧缩预期。企业预期产品价格下跌,会推迟投资、缩减生产规模;居民预期物价继续走低,会推迟消费、增加储蓄。这种 “投资 - 消费” 双收缩的局面会导致经济增长动力不足,甚至陷入经济下行的恶性循环。推动物价合理回升,能有效打破通缩预期,稳定市场信心。
稳定企业盈利与就业:物价处于合理回升区间时,企业产品价格上涨可覆盖原材料、劳动力等成本,盈利空间改善。企业盈利提升后,才有能力扩大生产、增加招聘,进而稳定就业市场。反之,物价低迷会导致企业利润压缩,甚至出现亏损倒闭,引发失业压力上升,影响经济和社会稳定。
缓解债务实际负担:物价持续走低会导致实际利率上升(实际利率 = 名义利率 - 通货膨胀率)。对于企业和居民而言,名义债务本息固定,实际利率上升意味着债务的实际偿还负担加重,可能引发债务违约风险。推动物价合理回升,可降低实际利率水平,减轻企业和居民的债务压力,防范系统性金融风险。
与经济稳定增长目标相辅相成:货币政策的核心目标之一是经济增长与物价稳定的平衡。适度宽松的货币政策旨在刺激总需求,而总需求的回升既会拉动经济增长,也会推动物价温和上涨。物价合理回升本身是总需求改善的体现,也是经济走向复苏的重要信号。若物价长期低迷,说明总需求不足,即使货币政策宽松,也难以有效转化为经济增长动力。
维持货币政策有效性:若物价陷入通缩,名义利率可能逼近零下限,货币政策将面临流动性陷阱(此时下调名义利率的空间耗尽,货币政策失效)。推动物价合理回升,可避免名义利率进入零下限区间,保持货币政策的调控空间和有效性,确保宽松政策能够通过利率、信贷等渠道传导至实体经济。

出处:述飞暑期强化习题班


