中考科学高频易错——一道涉及模考卷中的电学错题分析

四季读书网 7 0
中考科学高频易错——一道涉及模考卷中的电学错题分析
    本文,我们来分析一道模考卷中的电学错题分析,题目如下
中考科学高频易错——一道涉及模考卷中的电学错题分析 第1张
中考科学高频易错——一道涉及模考卷中的电学错题分析 第2张
这道题本来是道选择正确的有几个,我改编成了选择哪几个是正确的,难度反而更大了。
我们依旧先来梳理基础知识点:
1、U-I图像,如果是曲线,电阻是在变化的;如果是直线,则说明电阻不变
中考科学高频易错——一道涉及模考卷中的电学错题分析 第3张
2、小灯泡这个用电器,除非题目有文字说明,则一般考虑电阻是变化的,且随着温度的升高而增大
3、串联电路,电阻分压——电阻越大,分到的电压也越大
4、串联电路,各用电器电压之和等于总电压
5、串联电路,电流要越小,则电阻要越大
回到本题:
(1)要①中的问题,串联电路,电流的最小值,则根据上述第5条,那么电路中的电阻要取得最大
(2)根据上述第3条,电阻最大, 则电压表示数也最大
(3)根据题干中,电压表量程是0-3V,所以电压表最大取3V
(4)根据题干,电源电压是5V,由上述第4条,得,灯泡的电压是5-3=2V
由下乙图,2V的时候,当灯泡电阻不变,可以求得灯泡的电流为0.4A,但实际电阻是在变化的,则实际电流大小为P的位置,大于0.4A,①是正确的
中考科学高频易错——一道涉及模考卷中的电学错题分析 第4张
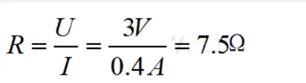
(5)回答第二个问题,滑动变阻器要最大,则电压表示数只能为3V,电流表示数按照灯泡电阻不变,则是0.4A,那么滑动变阻器的阻值为:
中考科学高频易错——一道涉及模考卷中的电学错题分析 第5张
但是实际电电流表示数是大于0.4A的,则电阻就小于7.5Ω,故②也正确
(6)滑动变阻器要连入电路的阻值最小,则电路的电路就最大,根据乙图,该电路电流最大是0.5A,此时灯泡的电压为2.5V,那么滑动变阻器两端的电压为5V-2.5V=2.5V
此时电阻为:
中考科学高频易错——一道涉及模考卷中的电学错题分析 第6张
③项正确
最终答案:①②③
总结:
(1)电学核心知识就那么几个点,熟练掌握才是解题的王道
(2)中考倒计时不到两个月,不要一味的刷大量的题,而从不做错题的总结归纳
(3)不要熬夜做作业,失去的比得到的更多
推荐阅读:
中考科学高频易错——一道涉及多个模型的选择错题分析
2025、2026最新各地一模卷组合,大家自行下载
中考科学高频易错——一道涉及非纯电阻电路的计算错题分析

抱歉,评论功能暂时关闭!