







强基计划资料包含
1:2020-2025对应学校强基计划数学物理笔试真题+面试真题及解答
2:对应学校强基计划面试备考技巧
3:面试时事热点
4:强基计划数学物理笔试真题集+面试真题集
5:自我介绍、未来规划模板(面试必备)
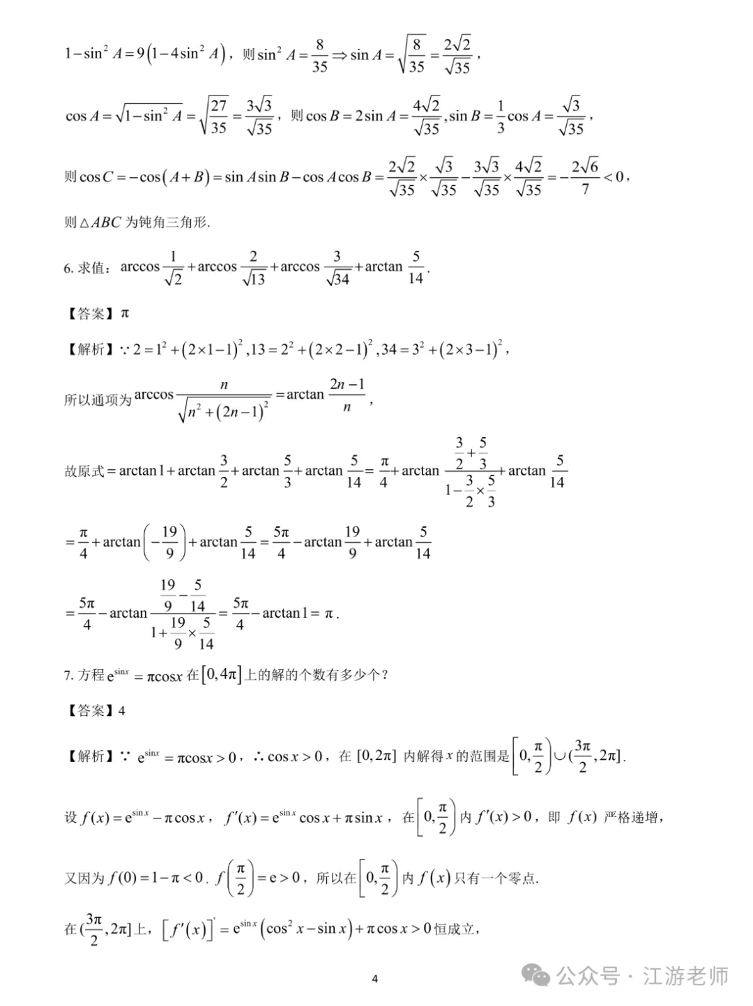
赠送强基计划笔试面试通用录播课(10小时)
咨询微信18101092019













































1、数据由各学校官网及网络平台汇总整理,如有疏漏请留言指正 2、更多强基综评讯息,推荐关注【鸡蛋强基计划综合评价】公众号 |

鸡蛋圆教育强基计划一站式规划服务
服务简介
为想通过强基计划上名校的学生,提供专业、全面的备考规划服务。
服务内容
强基计划申请服务
精准择校选专业,依据学生情况分析录取可能,助 400 + 人录取,平均优惠高考分 7 分。
强基计划真题集
多校多学科真题,含详细解析,助学生熟悉题型、掌握技巧。
强基计划六小时一对一辅导
个性化规划,专业教师针对笔试面试,强化知识应用、训练表达思维等。
服务优势
专业团队,经验丰富;个性化定制,贴合需求。
服务流程
咨询微信
程老师 18730705062杨老师 18101092019
沟通 - 制定方案 - 实施服务 - 全程陪伴



一篇文章搞懂2026强基计划热门问题,简章备考、录取分数、校测真题
2025强基计划校测怎么考?笔试、面试如何快速提升?往年真题面试流程、考法汇总、备考指南
关于我们:负责人鸡蛋老师(杨老师)高中参加过物理竞赛和多所学校自主招生测试,毕业于北邮南科大,计算机专业,曾任职于腾讯、移动、华为等知名企业,具有10年自主招生、强基计划、综合评价、港澳升学规划辅导经验,指导考生3w余人。
