山西省太原市2026年高三年级模拟考试(二)(太原二模)各科试卷及答案,考不凡会将该资源的所有内容在考试结束后第一时间更新各科试题及答案。希望考生在2026年高考当中获得好成绩。该资源是关于新高考地区的语文,英语,数学,物理等其他科目


山西省太原市2026年高三年级模拟考试(二)(太原二模)语文试卷

山西省太原市2026年高三年级模拟考试(二)(太原二模)语文答案

山西省太原市2026年高三年级模拟考试(二)(太原二模)数学试卷

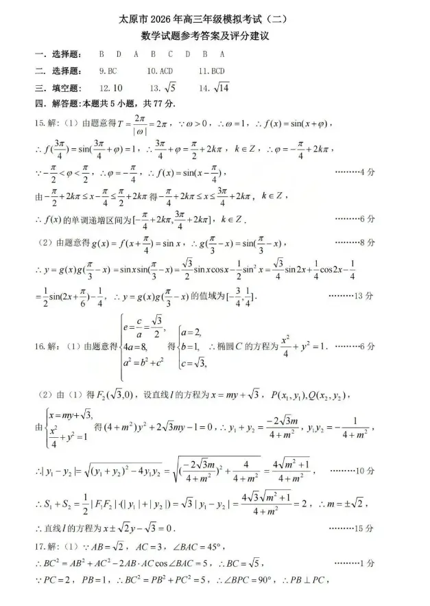
山西省太原市2026年高三年级模拟考试(二)(太原二模)数学答案

文章来源:
四季读书网
版权声明:本文内容由互联网用户自发贡献,该文观点仅代表作者本人。本站仅提供信息存储空间服务,不拥有所有权,不承担相关法律责任。如发现本站有涉嫌抄袭侵权/违法违规的内容, 请发送邮件至23467321@qq.com举报,一经查实,本站将立刻删除;如已特别标注为本站原创文章的,转载时请以链接形式注明文章出处,谢谢!