本公众号部分转载或者整理的文章、图文来源于网络,其初衷在于教科研分享与交流。由于多种原因,部分内容未能成功追溯原作者署名,此举绝非有意侵权所有转载内容的版权及文责均归原作者所有。如果您发现本文存在侵犯您合法权益的情况,烦请利益人与我们联系,我们将在核实后立即立即进行删除处理。
春深似海研途阔,智汇方圆启新程。为深入剖析高考命题趋势,精准把握二轮复习备考方向,切实提升数学学科复习实效,近日海阳一中数学组精心组织了学科大研讨活动。本次活动中包朋波名师工作室马芳和姜耀玲两位老师,针对2025年全国卷二卷第17题、第18题两大核心题型展开深度试题分析,在真题拆解中夯实备考根基。为全体数学教师奉上一场干货满满的教研盛宴,助力师生在2026高考备考之路上行稳致远。
第17题(立体几何)试题深度解析
首先马芳老师对试卷第17题进行深度剖析。
一.试题呈现

二.试题分析
本题紧扣新课标核心素养,主要从以下四个维度:
1. 直观想象与空间变换
核心:考查对翻折问题的空间想象能力。
目标:理解翻折过程中,哪些量(边长、角度)保持不变,哪些量(空间位置、二面角)发生了变化。能够从平面图形想象出空间几何体的结构。
2. 逻辑推理与几何证明
核心:考查线面平行的判定定理及应用。
目标:第(1)问要求严谨的逻辑书写,需要通过构造平行四边形或证明面面平行来推导线面平行,考察逻辑思维的严密性。
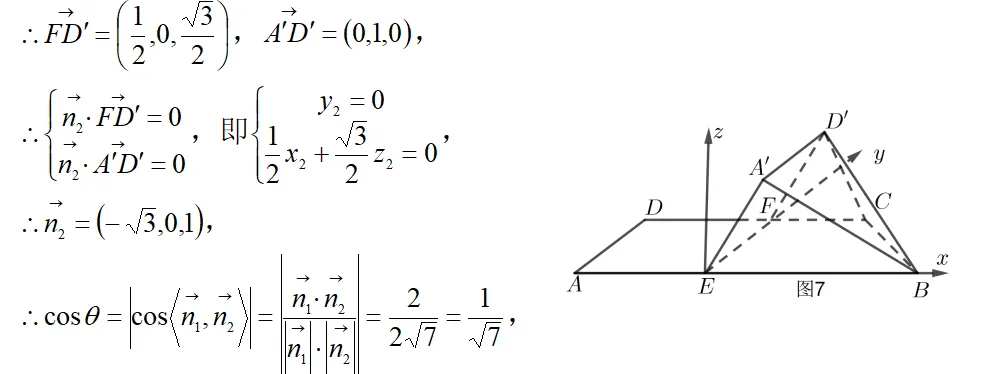
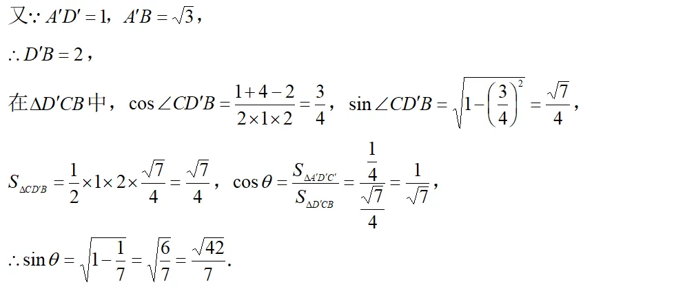
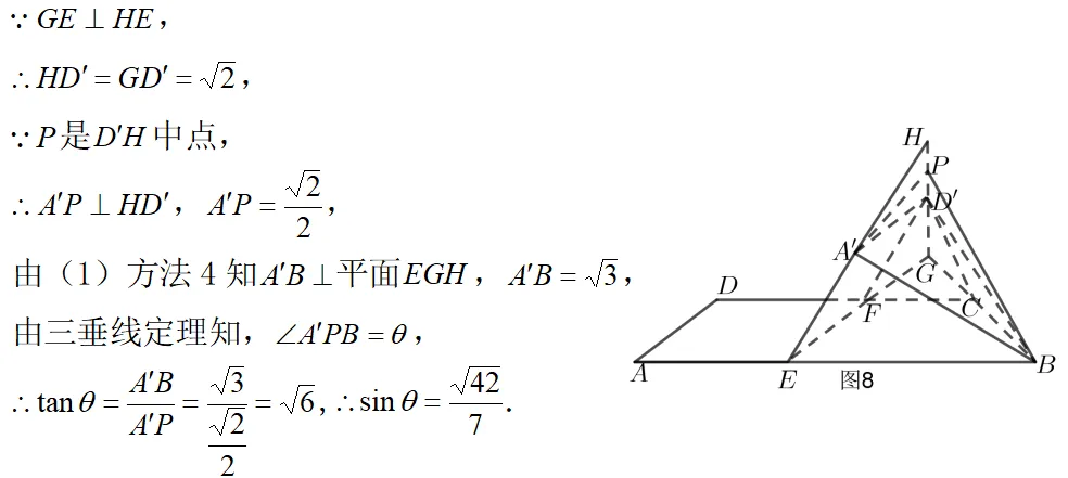
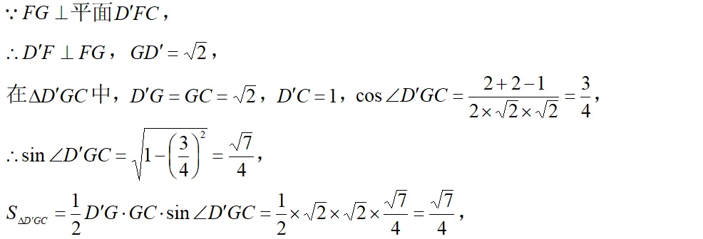
3. 数学运算与空间向量
核心:考查空间向量法求解二面角。
目标:第(2)问要求建立空间直角坐标系,准确写出各点坐标,计算法向量,并利用向量夹角公式求解二面角的三角函数值,考察运算求解能力。
4. 转化与化归思想
核心:将立体几何问题转化为代数问题。
目标:学会将“几何角”转化为“向量夹角”,将“空间问题”转化为“平面坐标运算”。
三、思维导图
思维导图:第(1)问如图

思维导图:第(2)问如图





























马老师指出,本题以空间几何体为载体,分两小问设置考点:第一问考查空间线面平行的判定与证明,第二问考查二面角的计算,综合覆盖空间想象、逻辑推理、数学运算三大数学核心素养,在试卷中起到承上启下的作用,既立足基础,又兼顾能力考查。分析时马老师结合几何图形,清晰梳理解题逻辑。
老师特别提醒,本题易错点集中在空间坐标系建立不合理、点坐标计算错误、法向量求解失误,建议教学中多结合实物模型培养学生空间感,回归教材例题变式,强化运算训练,提升学生几何问题代数化的解题能力。
第18题(函数与导数)试题深度解析
姜老师针对高考二卷第18题,展开全流程分析。


姜老师首先阐明本题聚焦导数核心模块,属于中档偏难解答题.2025年新高考Ⅱ卷第18题以含参的函数为背景,重点考查函数的单调性、极值点和零点等相关问题,考查函数与方程、转化与化归、分类与整合、数形结合等数学思想方法,对学生的观察能力、逻辑推理能力、数学运算能力、语言表达能力提出了较高要求。























分析时姜老师结合函数的单调性采用数形结合的思想方法搭好梯子,逐问解决,解题思路清晰。并指出本题溯源于(2019年人教A版高中数学教材选择性必修第二册复习参考题5第19题)已知函数f(x)=a+(a−2)−x.(1)讨论f(x)的单调性;(2)若f(x)有两个零点,求a的取值范围.姜老师提醒大家在今后教学中要回归教材。新高考试题强化主干知识与核心素养考查,大多数题目源于教材例题改编,教师要重视教材的使用。
研思共进,笃行不怠
两位老师的试题分析全程紧扣真题、深入浅出,完整展现了高考核心题型的命题逻辑与解题精髓,在场教师认真记录、积极交流,收获满满。
此次教研活动,充分发挥了包朋波名师工作室的引领作用。愿全体高三学子以真题为镜,查漏补缺,提升能力,在2026年高考中乘风破浪,斩获佳绩!