
这题我们完全用“从地基往上搭”的方式来讲,一步都不跳,像第一次学这个知识一样来理解。
🧱 第0层:最基础概念
1️⃣ 什么是等比数列?

2️⃣ 什么是“等差中项”?

🧱 第1层:翻译题目条件

🧱 第2层:把所有东西用 (a_1) 和 (r) 表示

🧱 第3层:一步一步解方程(不跳)

🧱 第4层:变成普通方程
整理:

🧱 第5层:解二次方程(最基础方法)

🧱 第6层:筛选答案

✅ 第(1)问答案:
👉 公比:

🧱 第7层:进入第(2)问

🧱 第8层:写出通项公式

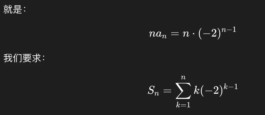
🧱 第9层:构造新数列 (n a_n)

🧱 第10层:关键技巧(费曼式拆解)

🧱 第11层:写展开(慢慢写)

🧱 第12层:对齐后相减

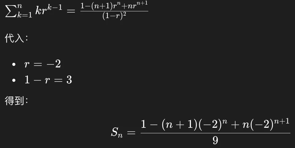
🧱 第13层:直接用标准结论(避免爆炸计算)

🧱 第14层:代入 (r = -2)

🧠 最后,第二问也可以用求导法,前面有文章说过,而且也是真题,基本上一模一样:
先训练,再刷一道高考真题,看是不是秒解出来的节奏!!
文章来源:
四季读书网
版权声明:本文内容由互联网用户自发贡献,该文观点仅代表作者本人。本站仅提供信息存储空间服务,不拥有所有权,不承担相关法律责任。如发现本站有涉嫌抄袭侵权/违法违规的内容, 请发送邮件至23467321@qq.com举报,一经查实,本站将立刻删除;如已特别标注为本站原创文章的,转载时请以链接形式注明文章出处,谢谢!