【中考模拟】2026年邯郸25中中考一模数学试卷及答案(可下载)

四季读书网 9 0
【中考模拟】2026年邯郸25中中考一模数学试卷及答案(可下载)
电子版下载链接:
2026年邯郸25中中考一模数学试卷及答案
链接:https://pan.quark.cn/s/589dd5c3f2e0
【中考模拟】2026年邯郸25中中考一模数学试卷及答案(可下载) 第1张
【中考模拟】2026年邯郸25中中考一模数学试卷及答案(可下载) 第2张
【中考模拟】2026年邯郸25中中考一模数学试卷及答案(可下载) 第3张
【中考模拟】2026年邯郸25中中考一模数学试卷及答案(可下载) 第4张
【中考模拟】2026年邯郸25中中考一模数学试卷及答案(可下载) 第5张
【中考模拟】2026年邯郸25中中考一模数学试卷及答案(可下载) 第6张
【中考模拟】2026年邯郸25中中考一模数学试卷及答案(可下载) 第7张
【中考模拟】2026年邯郸25中中考一模数学试卷及答案(可下载) 第8张
【中考模拟】2026年邯郸25中中考一模数学试卷及答案(可下载) 第9张
【中考模拟】2026年邯郸25中中考一模数学试卷及答案(可下载) 第10张
【中考模拟】2026年邯郸25中中考一模数学试卷及答案(可下载) 第11张
【中考模拟】2026年邯郸25中中考一模数学试卷及答案(可下载) 第12张
【中考模拟】2026年邯郸25中中考一模数学试卷及答案(可下载) 第13张
【中考模拟】2026年邯郸25中中考一模数学试卷及答案(可下载) 第14张
【中考模拟】2026年邯郸25中中考一模数学试卷及答案(可下载) 第15张
【中考模拟】2026年邯郸25中中考一模数学试卷及答案(可下载) 第16张
【中考模拟】2026年邯郸25中中考一模数学试卷及答案(可下载) 第17张
【中考模拟】2026年邯郸25中中考一模数学试卷及答案(可下载) 第18张
【中考模拟】2026年邯郸25中中考一模数学试卷及答案(可下载) 第19张
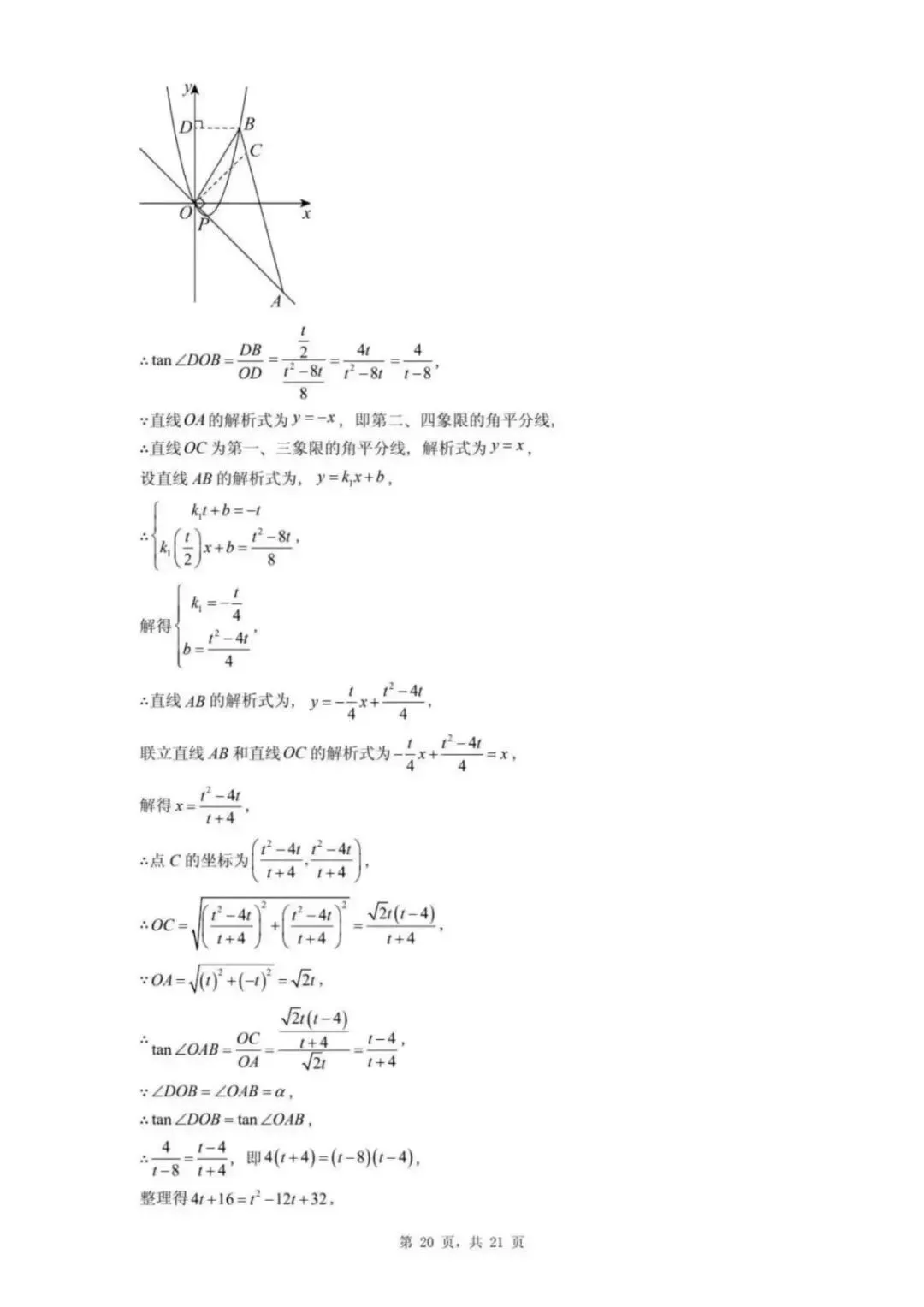
【中考模拟】2026年邯郸25中中考一模数学试卷及答案(可下载) 第20张
来源:试卷收集及汇总,如有侵权请联系删除。
敬请关注公众号

抱歉,评论功能暂时关闭!