2026浙江专升本数学真题解析

四季读书网 7 0
2026浙江专升本数学真题解析
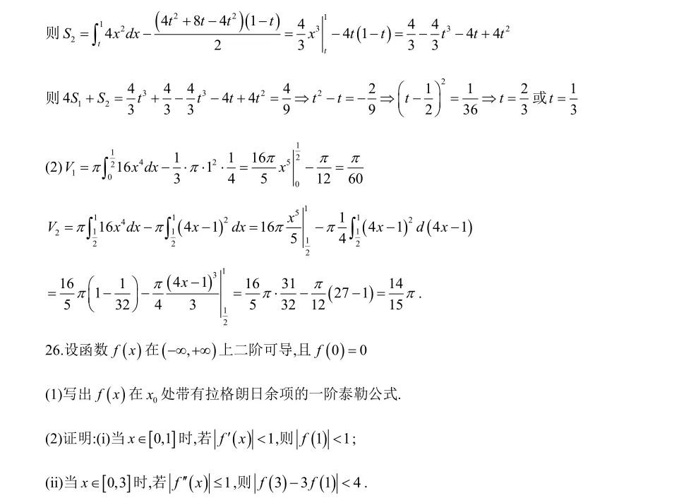
2026浙江专升本数学真题解析 第1张
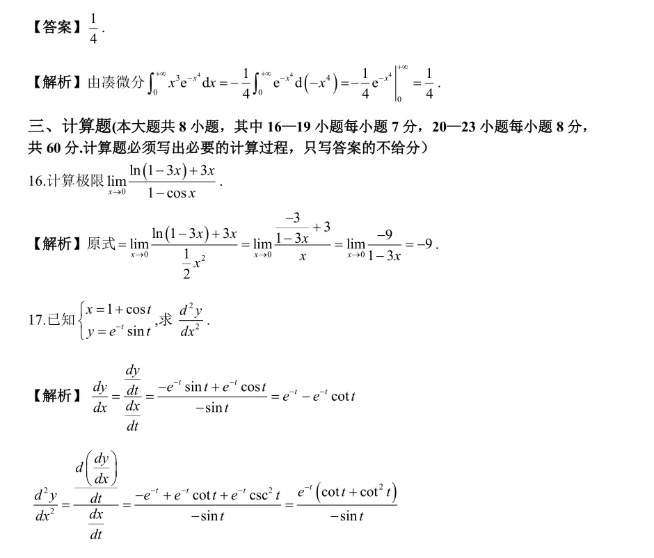
2026浙江专升本数学真题解析 第2张
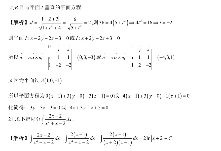
2026浙江专升本数学真题解析 第3张
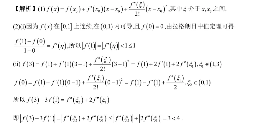
2026浙江专升本数学真题解析 第4张
2026浙江专升本数学真题解析 第5张
2026浙江专升本数学真题解析 第6张
2026浙江专升本数学真题解析 第7张
2026浙江专升本数学真题解析 第8张
2026浙江专升本数学真题解析 第9张
2026浙江专升本数学真题解析 第10张
2026浙江专升本数学真题解析 第11张
2026浙江专升本数学真题解析 第12张
2026浙江专升本数学真题解析 第13张
2026浙江专升本数学真题解析 第14张
2026浙江专升本数学真题解析 第15张

抱歉,评论功能暂时关闭!