
2024
01-03
试题讲解视频集

2023
08-12
试题讲解视频集

比较大小——辽东11所重点高中联合教研体24届第一次模拟T8
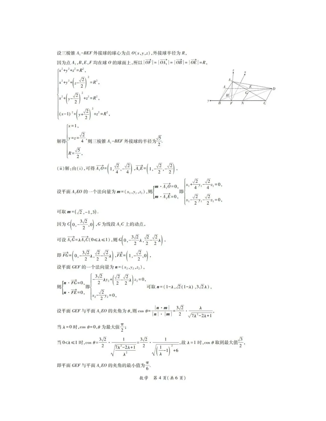
三棱锥体积的最值问题——Z20名校联盟24届第一次联考T88
坐标法解决平面向量问题——A10联盟24届高三开学摸底考T8
知过一点作曲线切线的条数求参——江西智学24届第一次联考16
基于函数的性质解不等式——安徽六校2024届高三入学测试T8
基于函数零点求二元代数式最值——郑州外国语学校24届一调T8
由函数极值点个数求参——九师联盟24届高三上开学(X)T16
由不等式恒成立求参——山西金科大联考24届高三开学检测T16
函数的零点和方程的根——成都外国语学校24届高三入学考T16
妙用比零点大小——浙江省名校协作体24届高三上返校联考T16
方程的根和函数图象交点——七彩阳光联盟24届高三上开学T12
同构+切线放缩不等式——九师联盟24届高三9月质量检测T16
妙用e^x≥x+1求最值——贵阳一中2024届月考卷二T16
同构解不等式——河北邢台五岳联盟24届高三上第四次月考T16
等差数列+三角函数对称性——衡水中学2024届高三上一调T8
基于“爪型”求双曲线离心率—湖南九校联盟24届第一次联考T8
2023
06-07
试题讲解视频集

基于折叠考查解三角形——华中师大附中2023届高三5月T16
基于分段函数求二元代数式的最值——合肥八中23届保湿卷T16
三角函数的性质——23届高三TOP20名校猜题卷(二)理16
由三角函数方程根的情况求参——绵阳南山中学23届高考热身16
指对同构求二元代数式的值——山东师大附中23届6月模拟T16
2023年新高考Ⅰ卷19题多角度讲解2023年高考全国乙卷理16多角度讲解
2022年高考真题讲解
一道解三角形题的多角度分析——2022年高考甲卷文理第16题
由三角函数的极值点和零点个数求ω——2022年高考甲卷理11
正四棱锥中基于外接球求体积最值——2022年新高考Ⅰ卷第8题
等比等差数列通项公式的灵活运用——2022年新高考Ⅱ卷17题
2022年新高考Ⅱ卷中一道解析几何题(填空压轴题)多度角讲解
立体几何中的面积和体公式的灵活运用——2022年高考全国甲卷
椭圆焦点三角形中巧用作高法求离心率——2022年高考全国乙卷
由函数的极值点求参数取值范围——2022年高考全国乙卷理16
函数的零点、方程的根和两曲线的交点——2022年高考乙卷21
巧用中位线和双曲线的定义求离心率——2022年高考乙卷理11
最新试题




推
每日一题分类(视频讲解)
1
函数与导数
2
函数解三角形
3
平面向量
4
不等式
5
数列
6
解析几何
7
立体几何
8
概率与统计






为了让你或子女或朋友学提分、进步、考试第一,所以有了我;
点击『阅读原文』查看2025年高考真题视频讲
