2026中考数学压轴题系列(七):二次函数代数与几何综合题

四季读书网 10 0
2026中考数学压轴题系列(七):二次函数代数与几何综合题
01

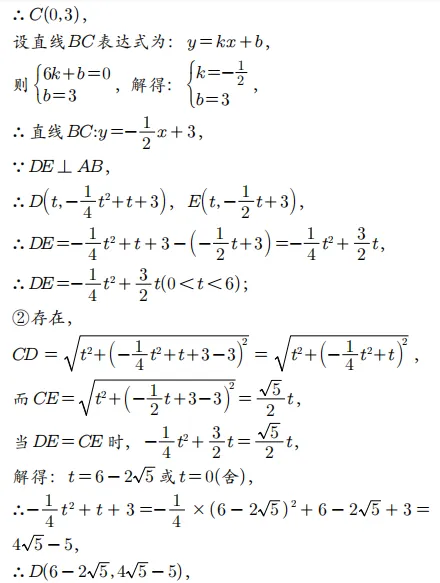
上期答案

2026中考数学压轴题系列(七):二次函数代数与几何综合题 第1张
2026中考数学压轴题系列(七):二次函数代数与几何综合题 第2张
2026中考数学压轴题系列(七):二次函数代数与几何综合题 第3张
2026中考数学压轴题系列(七):二次函数代数与几何综合题 第4张
02

数学题目

2026中考数学压轴题系列(七):二次函数代数与几何综合题 第5张
03

解题思路

2026中考数学压轴题系列(七):二次函数代数与几何综合题 第6张
04

考点分析

2026中考数学压轴题系列(七):二次函数代数与几何综合题 第7张
2026中考数学压轴题系列(七):二次函数代数与几何综合题 第8张
2026中考数学压轴题系列(七):二次函数代数与几何综合题 第9张

答案见下期

初中班课报名请找我
2026中考数学压轴题系列(七):二次函数代数与几何综合题 第10张

抱歉,评论功能暂时关闭!