必修二数学 "向量、复数" 第一次月试试卷分析与反思

四季读书网 7 0
必修二数学 "向量、复数" 第一次月试试卷分析与反思
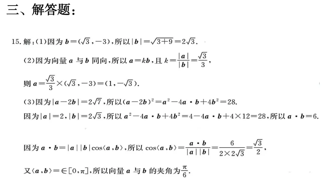
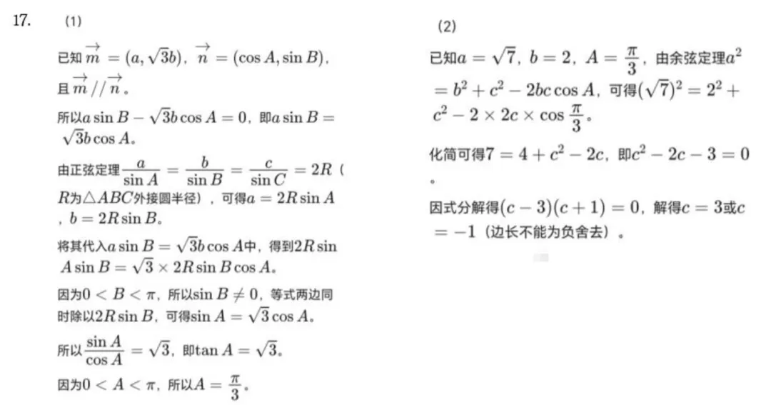
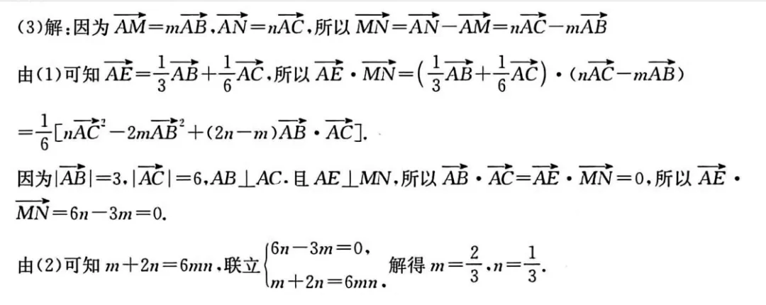
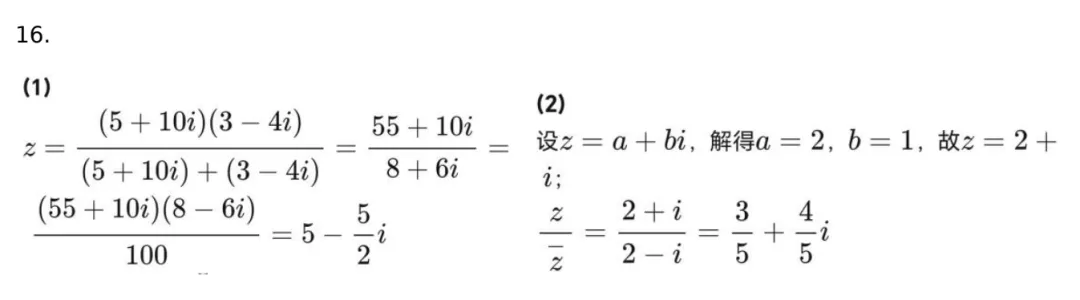
        本次考试主要内容包括高中数学必修二第六章:“平面向量及其应用”和第七章:“复数(不包括选学内容)”。主要考查学生对向量运算及其性质,建立向量运算体系的基本能力,包括:(1)向量线性运算(加法、减法、数乘运算)和向量数量积、三点共线即两向量共线、投影向量的计算、正弦定理、余弦定理以及三角形面积公式的综合应用。(2)复数的加法、减法、乘法、除法四则运算,复数模长、共轭复数之间的简单计算。
        14题(楼房高度问题)此题学生丢分严重,暴露的问题是学生未能透彻全面理解空间立体几何的这种思维方式。从学生课堂反应而言,他们还是停留在初中时期学过的在平面中进行测高问题的计算,未能一下子从平面几何转移到空间立体几何,而此题对于学生而言是一个建立空间立体几何思维模式起到重要作用,希望学生们后续静心思考和研究此类题目,在后续的改错中应该扎实数学基础,建立空间立体感。
必修二数学 "向量、复数" 第一次月试试卷分析与反思 第1张
必修二数学 "向量、复数" 第一次月试试卷分析与反思 第2张
必修二数学 "向量、复数" 第一次月试试卷分析与反思 第3张
必修二数学 "向量、复数" 第一次月试试卷分析与反思 第4张
必修二数学 "向量、复数" 第一次月试试卷分析与反思 第5张
必修二数学 "向量、复数" 第一次月试试卷分析与反思 第6张
必修二数学 "向量、复数" 第一次月试试卷分析与反思 第7张
必修二数学 "向量、复数" 第一次月试试卷分析与反思 第8张
必修二数学 "向量、复数" 第一次月试试卷分析与反思 第9张
必修二数学 "向量、复数" 第一次月试试卷分析与反思 第10张
必修二数学 "向量、复数" 第一次月试试卷分析与反思 第11张
必修二数学 "向量、复数" 第一次月试试卷分析与反思 第12张
必修二数学 "向量、复数" 第一次月试试卷分析与反思 第13张
必修二数学 "向量、复数" 第一次月试试卷分析与反思 第14张
必修二数学 "向量、复数" 第一次月试试卷分析与反思 第15张
必修二数学 "向量、复数" 第一次月试试卷分析与反思 第16张
必修二数学 "向量、复数" 第一次月试试卷分析与反思 第17张

抱歉,评论功能暂时关闭!