2026年4月金华十校高三模拟考试数学试题+答案

四季读书网 8 0
2026年4月金华十校高三模拟考试数学试题+答案
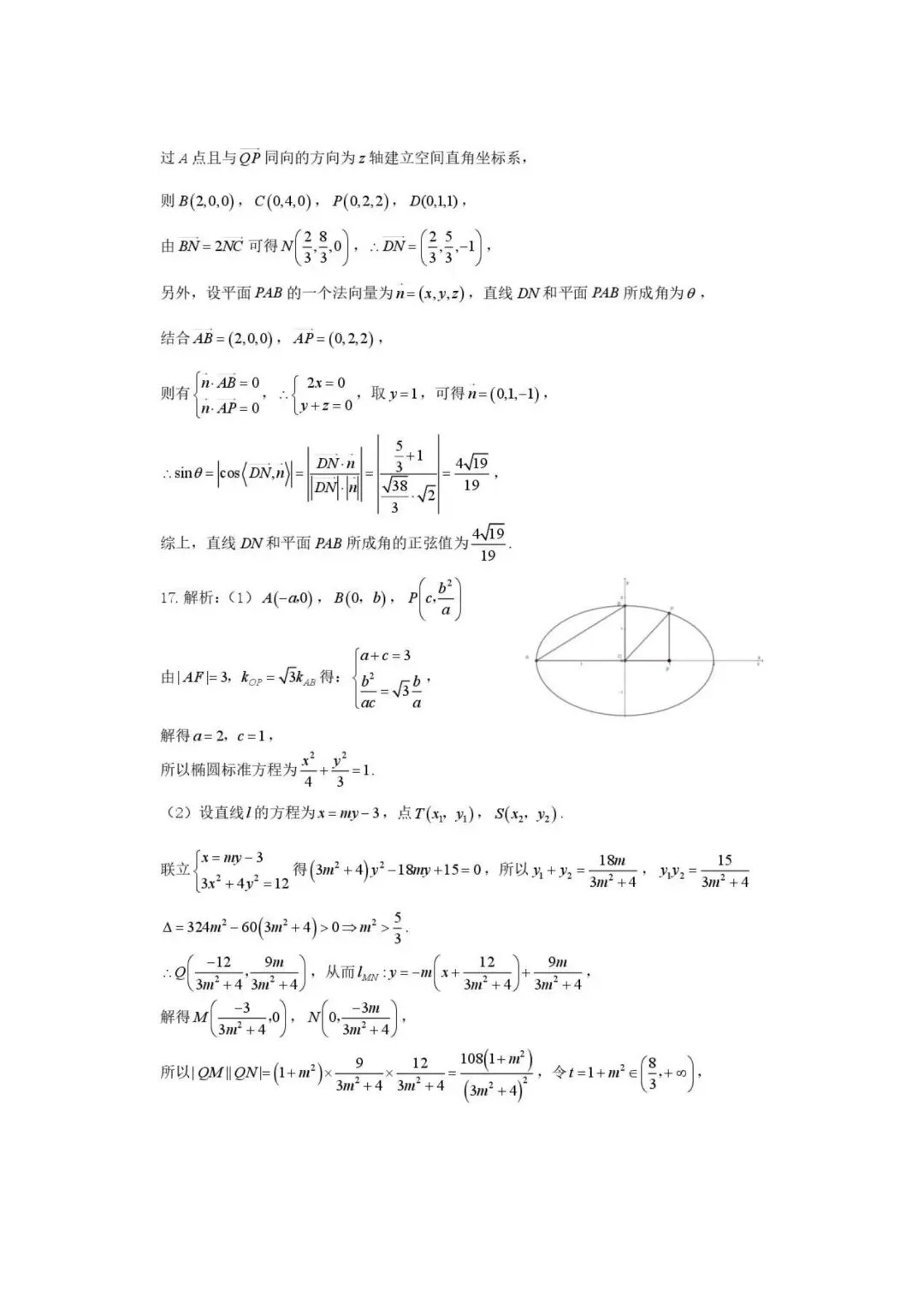
2026年4月金华十校高三模拟考试数学试题+答案 第1张
2026年4月金华十校高三模拟考试数学试题+答案 第2张
2026年4月金华十校高三模拟考试数学试题+答案 第3张
2026年4月金华十校高三模拟考试数学试题+答案 第4张
2026年4月金华十校高三模拟考试数学试题+答案 第5张
2026年4月金华十校高三模拟考试数学试题+答案 第6张
2026年4月金华十校高三模拟考试数学试题+答案 第7张
2026年4月金华十校高三模拟考试数学试题+答案 第8张
2026年4月金华十校高三模拟考试数学试题+答案 第9张

抱歉,评论功能暂时关闭!