





知识导图

知识点总结



几种常见的不等式组的解集

题型总结
题型01 利用不等式的性质判断式子正负

【分析】根据不等式的性质:不等式的两边都加(或减)同一个数,不等号的方向不变,不等式的两边都乘以(或除以)同一个正数,不等号的方向不变;不等式的两边都乘以(或除以)同一个负数,不等号的方向改变,可得答案.

题型02 根据点在数轴的位置判断式子正负
实数a,b在数轴上对应的点的位置如图所示,下列结论正确的是()



题型03 利用不等式的性质比较大小



题型04利用不等式的性质确定参数的取值范围
若﹣3<a≤3,则关于x的方程x+a=2解的取值范围为()
A.﹣1≤x<5B.﹣1<x≤1 C.﹣1≤x<1 D.﹣1<x≤5
【详解】解:由x+a=2,得:x=2-a,
∵﹣3<a≤3,
∴﹣1≤2-a<5,即:﹣1≤x<5,
故选A.
题型05 不等式性质的应用
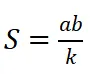
叶子是植物进行光合作用的重要部分,研究植物的生长情况会关注叶面的面积.在研究水稻等农作物的生长时,经常用一个简洁的经验公式

来估算叶面的面积,其中a,b分别是稻叶的长和宽(如图1),k是常数,则由图1可知k1(填“>”“=”或“<”).试验小组采集了某个品种的稻叶的一些样本,发现绝大部分稻叶的形状比较狭长(如图2),大致都在稻叶的4/7处“收尖”.根据图2进行估算,对于此品种的稻叶,经验公式中k的值约为(结果保留小数点后两位).



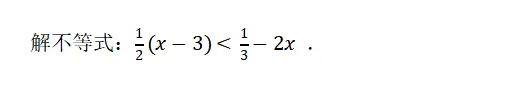
题型06求一元一次不等式解集

【分析】按照去分母、去括号、移项、合并同类项、系数化为1的步骤解答即可.

题型07一元一次不等式整数解问题

【分析】去分母,移项、合并同类项,系数化为1即可,根据不等式的解集即可求得所有非负整数解.

题型08根据含参数不等式解集的情况求参数的取值范围



题型09 与一元一次不等式有关的新定义问题



题型10含绝对值的一元一次不等式
先阅读,再完成练习

一般地,数轴上表示数x的点与原点的距离,叫做数x的绝对值,记作|x||x|<3,x表示到原点距离小于3的数,从如图1所示的数轴上看:大于﹣3而小于3的数,它们到原点距离小于3,所以|x|<3的解集是﹣3<x<3;
|x|>3,x表示到原点距离大于3的数,从如图2所示的数轴上看:小于﹣3的数或大于3的数,它们到原点距离大于3,所以x>3的解集是x<﹣3或x>3.
解答下面的问题:
(1)不等式|x|<5的解集为________,不等式|x|>5的解集为________.
(2)不等式|x|<m(m>0)的解集为________.不等式|x|>m(m>0)的解集为________.
(3)解不等式|x-3|<5.
(4)解不等式|x-3|>3.

题型11解一元一次不等式组

【分析】分别求出每一个不等式的解集,根据口诀:同大取大、同小取小、大小小大中间找、大大小小找不到确定不等式组的解集.

题型12由不等式组整数解求字母的取值范围

【分析】首先解不等式组求得不等式组的解集,然后根据不等式组的整数解的个数从而确定a的范围,进而求得整数a最小值.

题型13由不等式组的解集求参数

【分析】先解第一个不等式得到x<3,由于不等式组的解集为x<3,则利用同大取大可得到a的范围.

题型14根据程序图解不等式组
如图,按下面的程序进行运算,规定程序运行到“判断结果是否大于30”为一次运算.若运算进行了3次才停止,则x的取值范围是()


题型15不等式组与方程的综合

【分析】分式方程无解的情况有两种,第一种是分式方程化成整式方程后,整式方程无解,第二种是分式方程化成整式方程后有解,但是解是分式方程的增根,以此确定m的值,不等式组整理后求出解集,根据有且只有三个偶数解确定出m的范围,进而求出符合条件的所有m的和即可.

题型16利用一元一次不等式解决实际问题
某电子商品经销店欲购进A、B两种平板电脑,若用9000元购进A种平板电脑12台,B种平板电脑3台;也可以用9000元购进A种平板电脑6台,B种平板电脑6台.
(1)求A、B两种平板电脑的进价分别为多少元?
(2)考虑到平板电脑需求不断增加,该商城准备投入3万元再购进一批两种规格的平板电脑,已知A型平板电脑售价为700元/台,B型平板电脑售价为1300元/台.根据销售经验,A型平板电脑不少于B型平板电脑的2倍,但不超过B型平板电脑的2.8倍.假设所进平板电脑全部售完,为使利润最大,该商城应如何进货?











【中考数学复习05】——拿下“十分”重要的锐角三角函数及其应用!
【中考数学总复习06】——拿下最简单但最容易失分的“数与式”
【中考数学总复习08】——拿捏方程(组)和不等式(组)易错题
【中考数学总复习13】——中考数学常用解题方法、策略与技巧(赶紧收藏)
【中考数学总复习14】——中考数学重点知识梳理,务必转给孩子看一遍!
【2026年中考数学复习】——01实数及其运算知识点+真题练习(可免费领取)
【2026年中考数学复习】——02整式与因式分解知识点+真题练习(免费下载)
【2026年中考数学复习】——03分式知识点+真题练习(免费下载)
【2026年中考数学复习】——04二次根式知识点+真题练习(免费下载)
【2026年中考数学复习】——05一元一次方程知识点+真题练习(免费下载)
心动不如行动
资 | 料 | 获 | 取 |
方式一:扫码直接免费下载


夸克网盘下载


百度网盘下载

下载方法:
扫码保存资源到自己网盘账号(登录夸克或者百度网盘APP即可下载)
方式二:关注公众号,后台回复关键字免费获取
第二步:在聊天对话框发送【20241129】即可获取!

3
使用说明

【百度网盘】
方式三:如需往期资料,回复关键字添加微信

后台回复“230902” 即可添加微信




资料收集整理发布实属不易
点赞在看收藏分享以资鼓励

【温馨提示】:做题的意义并不在于做题本身,而是在于强化对所学知识的理解和运用能力,务必将每道题弄懂吃透!



