(文末可获取电子版)
考试时间:60分钟
注意事项:
1.答题前填写好自己的姓名、班级、考号等信息
2.请将答案正确填写在答题卡上
一、单选题(每题3分,共36分)
1.太空授课为中国青少年播下创新的种子。如图是太空教师王亚平通过视频直播的形式同时向四个地面分课堂开讲的情景。下列关于“王亚平讲课的声音”的说法中正确的是()

A.声音很响亮是由于她的声音频率很高
B.她的声音可以在真空中传播
C.讲课声是靠声带振动产生的
D.讲课声是靠超声波直接传回地面的
2.无人机足球项目首次纳入全运会项目。为了适配撞击需求,无人机加装了材质均匀的非金属材料制成的球形保护罩,这些材料轻量化且抗冲击性强,下列说法正确的是( )

A.轻量化是指材料的质量小,和密度无关
B.无人机降落时,该材料的质量会增大
C.若将保护罩的一部分切去,该材料的密度会变小
D.常温常压下,该材料的质量与体积之比是定值
3.2025年世界乒乓球锦标赛男女混双决赛中,中国队以3∶0战胜对手,实现了三连冠。如图,是运动员比赛时的场景。下列说法正确的是 ( )

A.静止在手中的乒乓球没有惯性
B.乒乓球在下落的过程中,相对于地面是运动的
C.乒乓球在空中运动的过程中,一直受到球拍的作用力
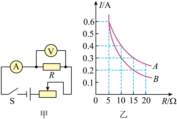
D.击球时,球拍对乒乓球的力和乒乓球对球拍的力是一对平衡力
4.如图所示,天舟一号货运飞船与天宫二号空间实验室顺利完成首次自动交会对接,下列说法合理的是()

A.从地球上带到天宫二号空间实验室的水稻种子质量会变小
B.天舟一号飞船在发射加速升空时,重力势能增加,机械能不变
C.天舟一号飞船在发射加速升空时,重力势能不变,机械能增加
D.天舟一号飞船在发射加速升空时,重力势能增加,机械能增加
5.为了提高学校图书馆的通行效率,图书馆实施“多功能检验”,人脸识别或学生证识别符合(相当于闭合开关)均可使电动机M工作,打开闸门。下列电路设计符合要求的是( )
A.
B.
C.
D.
6.如图甲是某款电子测温仪,图乙是它内部的原理图,电源电压保持不变,用电表示数大小反映温度高低,热敏电阻
的阻值随温度的升高而增大,定值电阻R起保护电路的作用。下列分析正确的是()

A.该电路中的电表是电流表
B.温度变化时R两端电压不变
C.温度升高时电路中电流变大
D.温度升高时
两端电压变大
7.湘西苗家古法酿酒有着数百年历史,工序包含“泡粮、蒸粮、发酵、窖藏”等环节,(米酒的比热容比水小)下列关于该酿酒过程的物理知识说法正确的是( )
A.蒸粮时粮食温度升高,是因为粮食含有的热量增加
B.蒸粮时粮食温度升高,是通过做功的方式改变粮食内能
C.窖藏时米酒温度降低,米酒分子无规则运动的剧烈程度减小
D.窖藏时相同质量的米酒和水,降低相同温度时米酒放出的热量更多
8.如图,是某公司生产的国内最小的无刷电动机。它的直径为d,质量为m,两只手指可以十分轻松把它拿起。下列说法正确的是( )

A.m约为3kg
B.d约为3nm
C.电动机的工作原理是磁场对电流的力的作用
D.用它给微型机器提供动力时,它能把电能完全转化为机械能
9.在“探索厨房中的物态变化问题”跨学科实践活动中,下列说法正确的是( )
A.蔬菜放置一段时间后会变蔫,是因为蔬菜中的水升华了
B.打开冰箱,用湿手去拿冷冻室的肉块时,手往往会被肉“粘”住是因为水蒸气凝华了
C.拿刚出笼的馒头前,先将手沾点水,这样手不会被烫伤,这是利用了汽化吸热
D.煮饺子时,当水沸腾后仍然用大火加热,这样饺子不仅熟得快且节省水和燃料
10.如图所示,A、B两个相同的烧杯放在水平桌面上,分别装有两种不同的液体,将两个完全相同的小球分别缓慢放入两烧杯中(液体均无溢出),小球静止时,两烧杯液面相平;现将两小球从烧杯中取出(烧杯中液体质量不变),此时烧杯对水平桌面的压强分别为pA和pB。下列判断正确的是()

A.pA>pB
B.pA<pB
C.pA=pB
D.无法判断
11.如图所示,电源电压为6V保持不变,电压表选择“0~3V”测量范围,电流表选择“0~0.6A”测量范围,定值电阻的规格为“10Ω 0.5A”,滑动变阻器规格为“20Ω 1A”,闭合开关S,在保证各元件安全的条件下,移动滑片P的过程中,下列说法错误的是( )

A.电流表的变化范围是0.2~0.5A
B.电压表的变化范围是2~3V
C.滑动变阻器的阻值变化范围是10~20Ω
D.滑动变阻器消耗的最大功率是0.9W
12.如图所示,工人站在水平地面上,用滑轮组提升重物A,工人对绳子自由端施加竖直向下的拉力F,工人拉力功率为200W,物体A被竖直匀速提升1m,用时5s,滑轮组的额外功为100J。下列说法中正确的是( )

A.工人的体重不能小于500N
B.动滑轮所受的重力为100N
C.物体A的重力可以大于1000N
D.该滑轮组的机械效率为80%
二、填空题(每空2分,共18分)
13.筷子是我国饮食文化的标志之一。如图所示,这是利用筷子夹糕点的场景,此时筷子ABC可看作一个_______杠杆;手离糕点越_____,人夹起糕点所用的力越小。

14.2025年5月,我国BEST(紧凑型聚变能实验装置)启动总装。该装置工作时,需在线圈中通过强大电流以产生强磁场约束等离子体。为显著降低线圈的电能损耗,线圈应采用_______(选填“超导体”“半导体”或“导体”)制作。BEST装置内部的核反应类型与太阳内部的核反应_______(选填“类似”或“不同”)。
15.小明自制了一个如图甲所示的简易投影仪,在可调范围内推拉纸盒,可以在白墙上看到如图乙所示的像,此时必须将手机以甲图中的___________(选填“A”或“B”)方向放置,且手机到凸透镜的距离可能是___________cm(选填“25”、“8”或“15”)。

16.图甲为自动气象站中的测温装置,它的测温电路可简化为图乙,其中的“恒流源”是一个特殊电源,电流大小由电源内部结构决定,当电阻R变化时,通过R的电流大小保持不变,电阻R的阻值随温度的变化规律如图丙所示,每升高1℃,R的阻值增大 ________ Ω。通过数字电压表的示数可反映环境的温度,某次环境温度为20℃时,电压表的示数为10.8V,环境温度从20℃上升到30℃,电压表的示数增加了 ________ V。当温度的变化值相同时,电压表示数的变化值越大,该测温装置的灵敏度越高,若要增大该测温装置的灵敏度,可换一个电流值更 _____ 的恒流源。

三、作图题与实验探究(17题4分,其余每空2分,共28分)
17.
(1)下雨天用完伞之后,小明将伞挂在水平课桌上如图所示,请画出伞静止时所受支持力的示意图。

(2)如图,闭合开关后,悬挂起来的条形磁体会向右偏移,请在括号内标出电磁铁左端的极性和条形磁体右端的极性。

18.小涵设计了如图甲、乙所示的两套装置来探究“冰熔化时温度的变化规律”。

(1)为了使试管中的冰受热均匀,且便于记录各时刻物质的温度值,小涵应选择图________(选填“甲”或“乙”)中的实验装置进行实验;
(2)某一时刻温度计的示数如图丁所示,此时水的温度为________℃;
(3)结合实验过程和图像分析,在DE阶段,试管中的水________(选填“会”或“不会”)沸腾,判断理由是________。
19.在“探究影响液体压强大小的因素”实验中,小强做了如图(a)所示的甲、乙、丙三次实验。

(1)实验前用手指按压
形管压强计的橡皮膜,发现
形管中的液面升降灵活,说明该装置___________(选填“漏气”或“不漏气”)。
(2)图(a)甲、乙实验表明:当液体深度相同时,液体压强与液体的___________有关。
(3)他结合液体压强的知识,设计了测量盐水密度的方案,请你将以下实验步骤补充完整:
①如图(b)中的
所示,用细线和橡皮膜把玻璃管一端扎紧,向管内倒入适量的水,用刻度尺测出水面到下管口的距离记为
。
②如图(b)中的
所示,在烧杯中装入适量的盐水,将玻璃管缓慢浸入其中,直至橡皮膜水平为止,用刻度尺测出盐水面到下管口的距离记为
。
③盐水的密度表达式;
___________(利用
等表示)。
④按照此实验过程,所测盐水的密度偏___________(选填“大”或“小”)。
20.小吉和小林同学用图甲的电路图探究电流与电阻的关系,实验中所用的定值电阻的阻值分别是5Ω、10Ω、15Ω、20Ω,电源电压为6V不变,滑动变阻器标有“20Ω1A”的字样。

(1)在实验过程中,需要改变定值电阻,观察电流的变化,为科学地得出实验结论,断开开关,将5Ω电阻换成10Ω电阻后,接下来应该向________(选填“左”或“右”)移动滑片,使电压表示数为3V;
(2)两个同学正确连接电路后,先后进行实验,并作出I-R图像,如图乙所示,图线________(选填“A”或“B”)实验操作不符合要求;
(3)按照上述正确的一组数据继续探究,小吉用30Ω的定值电阻代替原来的电阻进行实验,发现无论怎样移动滑片,电压表示数都________(选填“大于”或“小于”)3V。采用定值电阻________(选填“由大到小”或“由小到大”)的顺序完成实验可以避免上述现象。
四、计算题(21题8分,22题10分)
21.随着“围炉煮茶”的走红,小郡设计了一款两挡煮茶器。如图是煮茶器内部加热部分的简化电路图,R、
均为发热电阻,
是控制开关,可实现低挡、高挡之间的转换。已知低挡功率为
的阻值为
。试求:

(1)低挡位工作时,通过电阻
的电流;
(2)高挡位工作时,电路的电功率;
(3)高挡位工作
,低挡位工作
,电路产生的总热量。
22.我国自主研发的“奋斗者”号载人潜水器如图所示,其空载漂浮在海面上时的质量为
,潜水器底部观察窗的面积为
。在某处执行任务时,“奋斗者”号静止悬浮在海水下2000 m深度处,排开海水的体积为
,潜水器内的工作人员利用声呐定位系统向海底发射超声波声呐,4s后接收到回波。已知:声音在海水中的传播速度为1500 m/s,海水密度取
取10 N/kg。求:

(1)“奋斗者”号静止悬浮在海水下2000 m深度处时所受到的浮力;
(2)“奋斗者”号下潜到海底后,观察窗承受的海水压力;
(3)当“奋斗者”号以5 m/s的速度上浮时,它克服重力做功的功率。