上海交通大学强基校测考情
上海交通大学2025年强基计划校测分为笔试、综合面试和体育测试。
✅笔试
科目:Ⅰ组或Ⅱ组为“数学、物理”,Ⅲ组为“数学、化学”
时长:3小时
题型&题量:数学物理一张卷共78道题全部为单项选择题。其中40道数学题,38道物理题
分值:数学、物理每题3分或5分,答错倒扣分
难度:
1️⃣数学:数学属于高考压轴题难度,很小部分简单,大部分涉及复杂计算
2️⃣物理:物理部分高中知识,部分涉及竞赛术语和题目,没有竞赛背景无法理解
✅面试
科目:包含科研潜质及创新素养评估,主要考察考生分析问题、解决问题的能力,表达能力和创新思维等
形式:多一面试,共两轮,采取专家、考生、考场“三随机”抽签的方式,全程录音录像
✅体育测试项目:身高体重(BMI)、坐位体前屈、立定跳远、1分钟跳绳
上海交通大学近3年强基校测试题
2025年强基校测试题
✅笔试试题






✅面试试题
1. 简单说说量子计算机的原理、现代计算机的原理。
2. 说说计算机是如何存储数据的?为什么计算机不采用和人脑一样的数据存储方式?
3. 举一个数学或算法简洁优雅的具体例子。
4. 高中阶段你最喜欢的物理实验?
5. 双缝干涉实验没有研究的是时间相干性还是空间相干性?
6. 三阶魔方一共有几种组合情况?
7. 你的职业规划?
8. 想不想成为学科的领军人物,带领研究团队进行科研?
9. 有没有遇到什么挫折?
10. 有没有什么决定与父母的意见相背?
2024年强基校测试题
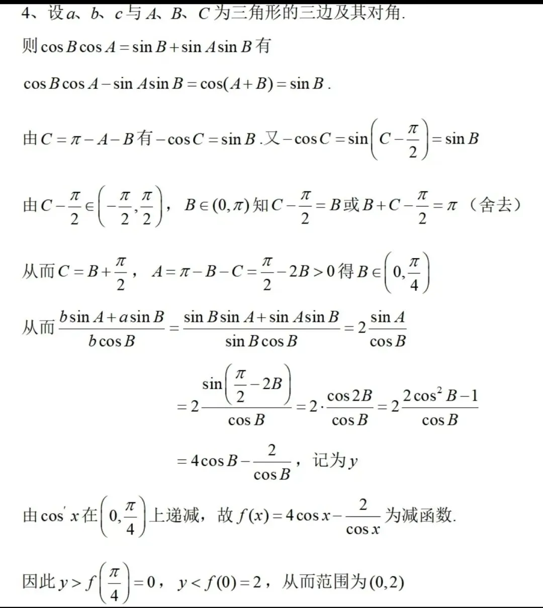
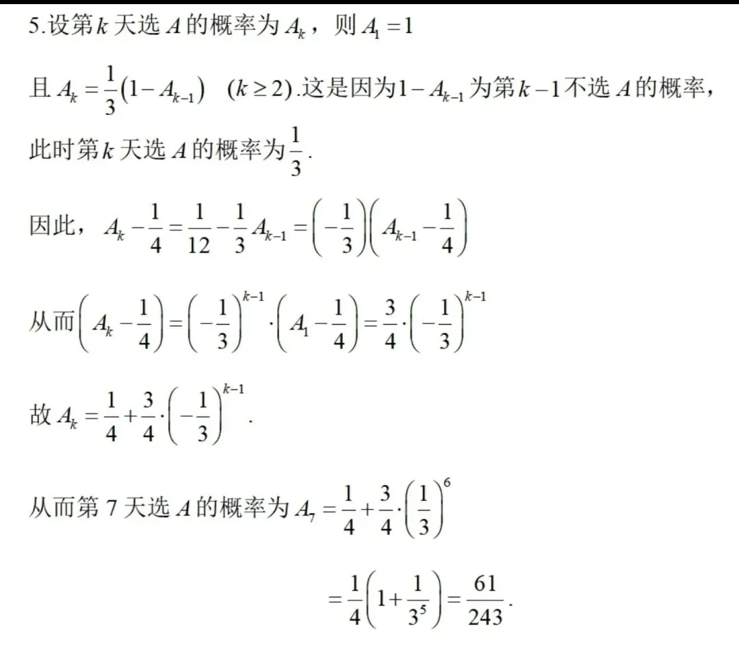
✅笔试数学试题



2023年强基校测试题
✅笔试数学试题


✅笔试物理试题


专注强基与综评✨我们更懂独一无二的你!
AI能一键生成文案,却写不出每个孩子独一无的成长故事——而这,正是让顶尖高校招生官心动的关键💓
强基填报不是简单的分数匹配,更要深度吃透各校培养方案、强基重视程度、往届就读体验✅
更要精准贴合孩子性格特质、兴趣爱好,找到院校-专业-个人的精准契合点!
从2020年综评&强基启动,我便开始为师大附中数十位孩子免费指导👇
✏️把机构模板化自述信,改写为独属孩子个人成长的真实故事
🎓把单纯分数定位的填报,优化为贴合孩子特质的院校专业规划
2023年起,开启「公益+收费」双模式,至今已助力数百家庭:
✅完成综评/强基/普通批填报
✅撰写数百份专属个人故事的优质自述信
✅免费指导数百位家长做好强基、综评、普通批全志愿规划
专注强基综评多年💪懂政策、懂院校、更懂每个孩子的独特价值,让每一份申请都有专属温度!
咨询微信:
