
点击上方🖕蓝色字体关注我吧😘😘
关注我,查看“A10联盟”往期试卷
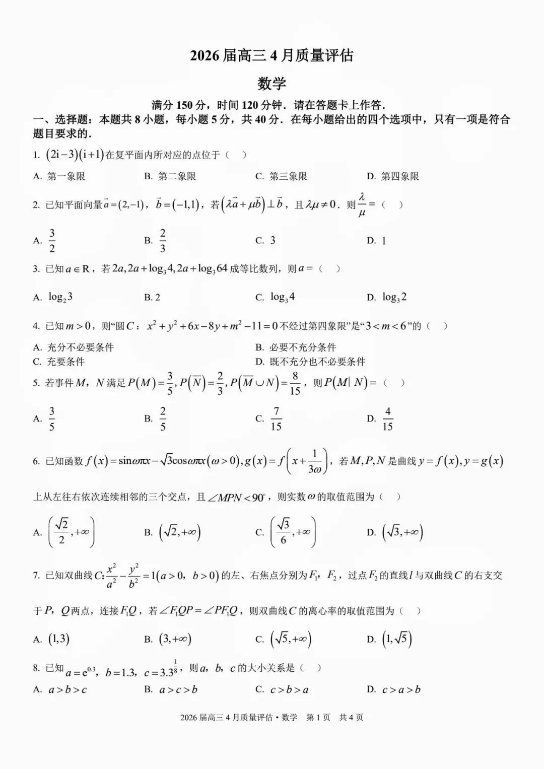
2026届A10联盟4月联考
数学试卷







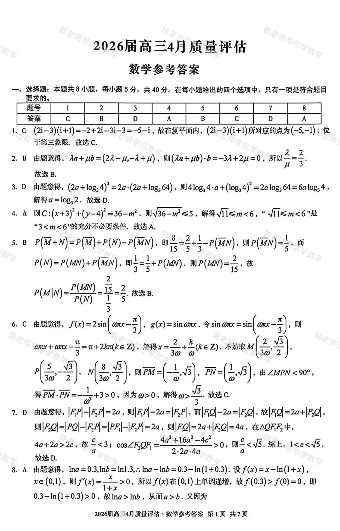
答案及解析








🧐新高考热点专题系列推荐:
1.新高考热点专题:平面向量巧解大招---极化恒等式(母题分类+通法训练)(有详解,可打印)
2.新高考必考专题:三角函数中求ω范围问题必考题型(母题分类+通法训练)
3.新高考必考专题:利用导数解决函数单调性问题七大题型(母题分析+通法训练)
4.新高考必考专题:线性回归方程必考题型(母题分类+通法训练)
5.新高考巧解大招:导数构造函数十大必考题型(母题分析+通法训练)
6.新高考重点专题:三角恒等变换10大必考考点(母题分析+通法训练)
9.新高考新增重要必考考点及题型(6)~百分位数(四大必考题型经典母题+通法训练1)
9.新高考新增重要必考考点及题型(5)~全概率公式与贝叶斯公式(8大重要题型)
10.新高考新增重要必考考点及题型(4)~条件概率(八大必考题型)
点个在看👇,你最好看

记得点赞、关注哦!!
😘😘
文章来源:
四季读书网
版权声明:本文内容由互联网用户自发贡献,该文观点仅代表作者本人。本站仅提供信息存储空间服务,不拥有所有权,不承担相关法律责任。如发现本站有涉嫌抄袭侵权/违法违规的内容, 请发送邮件至23467321@qq.com举报,一经查实,本站将立刻删除;如已特别标注为本站原创文章的,转载时请以链接形式注明文章出处,谢谢!