【中考压轴题冲刺·Day 1】二次函数最值问题和图形变换问题
今日距中考还有60天,吃透二次函数,愿每一步努力都朝最优解前进!
🟢 考情分析:二次函数代几综合问题是重庆中考每年必考题,分值10分。题型较固定第一问求解析式、第二问最值问题、第三问图形变换。其中一二问题为必拿分,建议让孩子先做15-20分钟再看解析。

题目来源:重庆南开中学24-25九下期中
🟢 核心思路:
第(1)问非常简单略。
第(2)问先处理
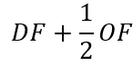
取最大值的情况,找到PE前系数是哪个角对应的三角函数值,然后设P点坐标表示D点坐标,
转化为二次函数表达式,求出取最大时D点坐标。接着处理
为胡不归问题,构造30°的正弦等于½即可求解。
第(3)问先假设满足要求平移后BC解析式联立抛物线解析式求出G点,求AC、BH直线解析式,分析图形四边形AGNG'为菱形,由AG=AN求出N点坐标。
🟢 图文解析:




🟢 做题过程中卡在哪一步?可留言(如“卡在第②步”),我会回复讲解。
学习不止,运动不息。明天见。


文章来源:
四季读书网
版权声明:本文内容由互联网用户自发贡献,该文观点仅代表作者本人。本站仅提供信息存储空间服务,不拥有所有权,不承担相关法律责任。如发现本站有涉嫌抄袭侵权/违法违规的内容, 请发送邮件至23467321@qq.com举报,一经查实,本站将立刻删除;如已特别标注为本站原创文章的,转载时请以链接形式注明文章出处,谢谢!