25-26河北区初三一模数学试卷及答案

四季读书网 8 0
25-26河北区初三一模数学试卷及答案

大家好好练练计算吧

25-26河北区初三一模数学试卷及答案 第1张
25-26河北区初三一模数学试卷及答案 第2张
25-26河北区初三一模数学试卷及答案 第3张
25-26河北区初三一模数学试卷及答案 第4张
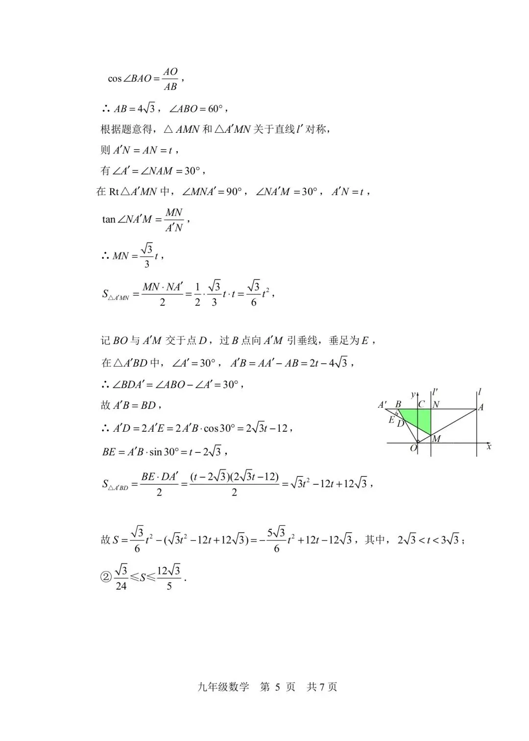
25-26河北区初三一模数学试卷及答案 第5张
25-26河北区初三一模数学试卷及答案 第6张
25-26河北区初三一模数学试卷及答案 第7张
25-26河北区初三一模数学试卷及答案 第8张
25-26河北区初三一模数学试卷及答案 第9张
25-26河北区初三一模数学试卷及答案 第10张
25-26河北区初三一模数学试卷及答案 第11张
25-26河北区初三一模数学试卷及答案 第12张
25-26河北区初三一模数学试卷及答案 第13张
25-26河北区初三一模数学试卷及答案 第14张
25-26河北区初三一模数学试卷及答案 第15张

抱歉,评论功能暂时关闭!