上海高一数学期中模拟试卷及答案(2026.4)

四季读书网 5 0
上海高一数学期中模拟试卷及答案(2026.4)

上海初高中数学、英语补课老师推荐

上海高中学习交流群(仅限高中)

上海高一数学期中模拟试卷及答案(2026.4) 第1张
上海高一数学期中模拟试卷及答案(2026.4) 第2张
上海高一数学期中模拟试卷及答案(2026.4) 第3张
上海高一数学期中模拟试卷及答案(2026.4) 第4张
上海高一数学期中模拟试卷及答案(2026.4) 第5张
上海高一数学期中模拟试卷及答案(2026.4) 第6张
上海高一数学期中模拟试卷及答案(2026.4) 第7张
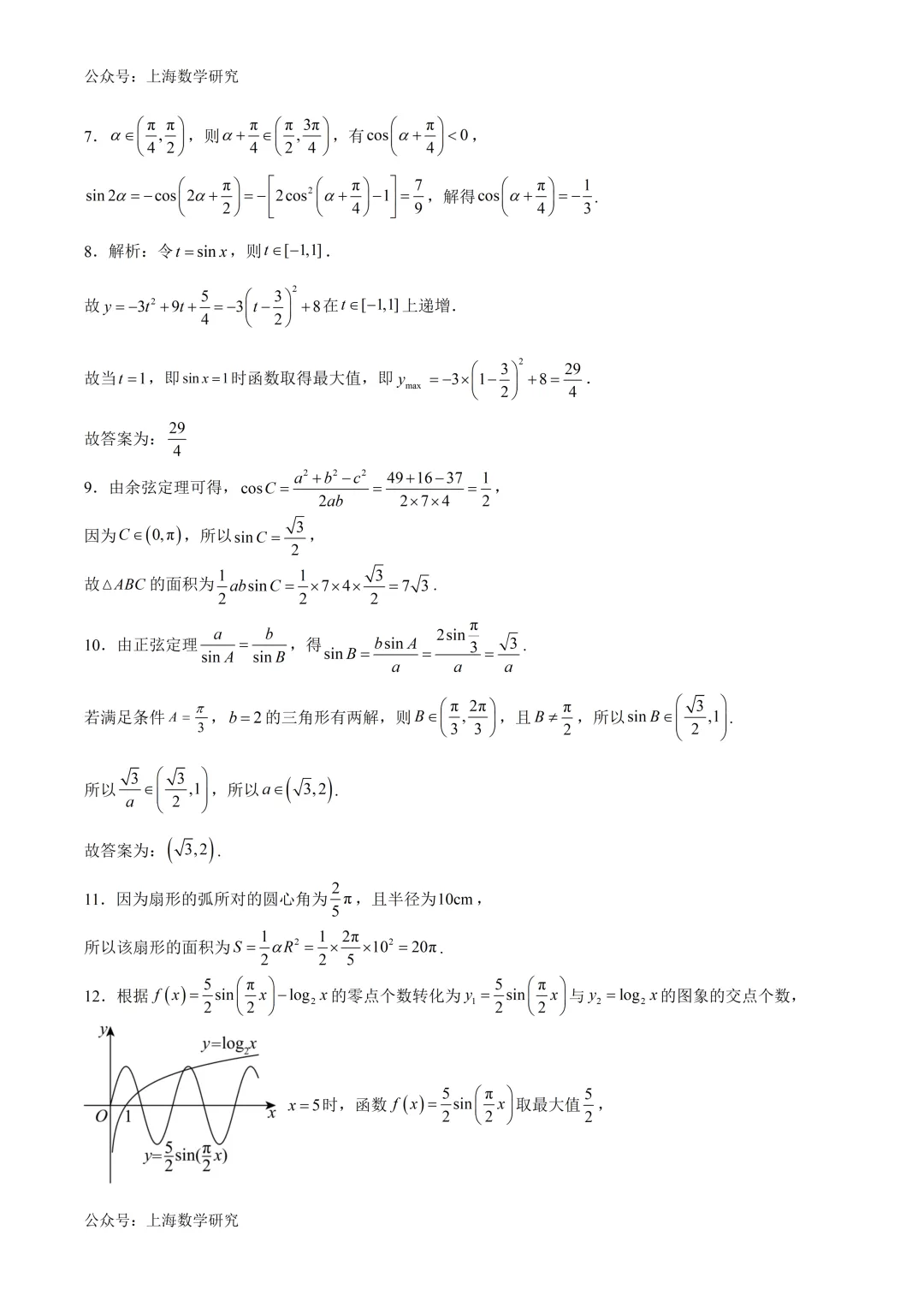
上海高一数学期中模拟试卷及答案(2026.4) 第8张
上海高一数学期中模拟试卷及答案(2026.4) 第9张
上海高一数学期中模拟试卷及答案(2026.4) 第10张
上海高一数学期中模拟试卷及答案(2026.4) 第11张
s

抱歉,评论功能暂时关闭!