
宜春二模 · 划线

物理类和历史类共4万+人次,本文是4月8~9日进行的宜春二模详细考试数据。
本文划线、赋分基于全市全体考生原始分统一汇总后划定,样本量更大,结果更精准。
二模的意义:历年二模参考人数与6月高考基本持平,这场高考前全市统一试卷、拉通排名的考试,能让考生清晰知晓自身当前的全市位次,明确现阶段的备考差距。
如有其他疑惑,评论区留言解答!

三、详细数据·公布如下

评论区已开启,欢迎交流探讨!

四、赋分等级区间表
以下数据由豫章名校大联考统计:
全市(四选二)赋分等级区间表

包含内容解释:
四选二(化学、生物、政治、地理)的原始分数区间对应的赋分分数区间
换算方式:
原始分/转换分(赋分)从高到低划定 A、B、C、D、E 共五个等级
将A至E五个等级内的考生原始分,依照等比例转换法则,分别对应转换到100~86、85~71、70~56、55~41和40~30五个分数段,从而将考生的等级转换成了等级分。

例子:假如你的原始分76处于A级这个范围,对应的最后的赋分成绩为100-86这各区间!
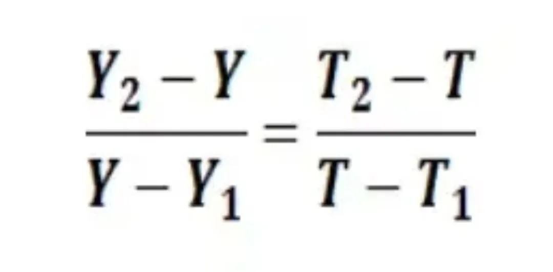
等级转换的具体公式:

其中:
Y1、Y2分别表示原始分区间的下限和上限【原始分区间两端的数】;
T1、T2分别表示转换分区间的下限和上限【赋分区间两端的数】;
Y表示原始分;T表示转换分。
全市单科学科成绩统计表

①赋分等级:分为ABCDE四个等级。
②特招线:旧高考时期,存在一本、二本之分,此时,特招线与一本/重本线通常是一致的,划定特招线,用于强基计划、高校专项计划、地方专项计划、综合评价招生、高水平艺术团等特殊类型招生录取最低达标线。
由于现在是新高考,本科不分一二本。特招线仅仅是强基等特殊类型招生最低线,但很多人仍将其粗略理解为一本/重本线。
✳以上部分,由微信公众号“豫章名校大联考”独立撰写,创作不易。其他微信公众号作者或平台如需转载请注明出处,抄袭、洗稿必究。


















