时间过得太快了
下周就到初三第一次市统考了
梳理了近期得分率较低的疑难杂症
今天给大家推荐三个重点题型
日常70分以后的同学可以暂时不用看
多去搞搞基础
尤其85分以上的务必花点功夫搞懂
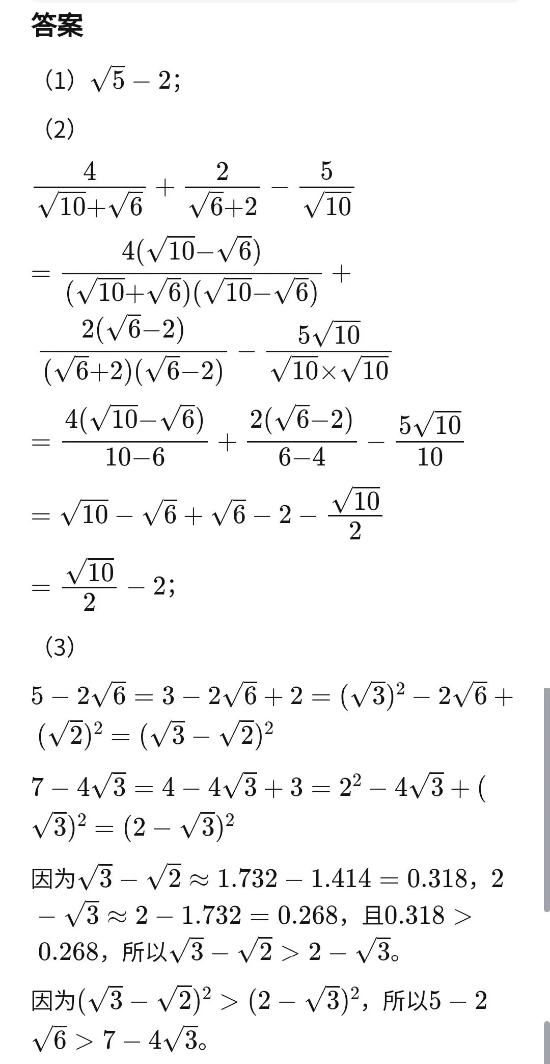
根式有理化:
第3小问的两种方法务必领会其中的道道儿
有什么不同,利用的是什么性质,你更擅长哪种



二次函数交点:
函数的交点问点和△之间的关系应用是必须掌握的,🉐迅速突破,3个小问里微小的变化是什么,看清楚再下笔


圆○切线的证明:
○切线的证明不是每次都是连起来证90°
🉐先判断点在不在圆上
此道题就是非常非常典型的切点没给标出来
得自己做
第1小问就给了三种证明方法
各有各的巧妙之处在,用到不同的数学方法(等面积,截长不短……)
慢慢体会其中的巧妙
这个题去年出来的时候我就觉得很经典



文章来源:
四季读书网
版权声明:本文内容由互联网用户自发贡献,该文观点仅代表作者本人。本站仅提供信息存储空间服务,不拥有所有权,不承担相关法律责任。如发现本站有涉嫌抄袭侵权/违法违规的内容, 请发送邮件至23467321@qq.com举报,一经查实,本站将立刻删除;如已特别标注为本站原创文章的,转载时请以链接形式注明文章出处,谢谢!