1. 已知:金属X在常温下能与空气中的氧气反应,而金属Y和Z不能;将Y 、Z分别投入稀盐酸中,Y溶解并产生气泡,Z无变化。下列说法正确的是()
A.X氧化物的化学式只能表示为XO
B.Y能将X从它的盐溶液中置换出来
C.Z在自然界中只能以单质形式存在
D.三种金属的活动性顺序:X>Y>Z
【答案】D

【解析】Al、Mg都能在常温下与氧气反应:4Al+3O2=2Al2O3和2Mg+O2=2MgO,X氧化物的化学式可能表示为XO或X2O3;根据“金属X在常温下能与空气中的氧气反应,而金属Y和Z不能”判断X比Y、Z活泼,Y不能将X从它的盐溶液中置换出来;根据“将Y 、Z分别投入稀盐酸中,Y溶解并产生气泡,Z无变化”判断X、Y、Z的活泼性:X>Y>Z;Z在自然界中大多以单质形式存在。故选D。
2.下列金属不能与CuSO4溶液反应的是( )
A.AgB.FeC.ZnD.Al
3.常温下向一定质量的稀盐酸中逐渐加入镁条,充分反应(忽略挥发)。下列图象正确的是( )

A.①②B.②③C.①④D.②④
【解答】解:常温下向一定质量的稀盐酸中逐渐加入镁条,则镁与盐酸反应生成氯化镁和氢气,溶液的质量不断增加,到盐酸反应完,溶液的质量不再增加,①对;金属与酸的反应是放热反应,溶液的温度逐渐升高,当反应完,会恢复到原温度,②不对;气体的体积不会一直增大,③不对;化学反应前后元素的质量不变,故氢元素的质量不变,④对;故选:C。
4.图3所示的四个图像,分别对应四种过程,其中正确的是()

A.①分别向等质量Mg和Cu中加入足量等质量、等浓度的稀硫酸
B.②分别向等质量且足量的Zn中加入等质量、不同浓度的稀硫酸
C.③分别向等质量且Mg和Zn中加入等质量、等浓度的稀硫酸
D.④分别向等质量的Mg和Zn中加入等质量、等浓度且定量的稀硫酸
【答案C
【解析】①Cu不与稀硫酸反应生成氢气;②足量的Zn与20%的稀硫酸反应生成氢气多;③、④Mg比Zn活泼,加入等质量、等浓度的稀硫酸,Mg产生氢气快,最后氢气质量相等。故选C。
5.甲、乙、丙、丁四种金属,只有丙在自然界中主要以单质形式存在,用甲制的容器不能盛放丁盐的水溶液,用乙制的容器却可以盛放丁盐的水溶液。由此推断四种金属的活动性由强到弱的顺序是( )
A.丙>乙>甲>丁
B.甲>丁>乙>丙
C.丁>甲>乙>丙
D.甲>乙>丁>丙
【解答】解:只有丙在自然界中主要以单质形式存在,说明丙最不活泼,用甲制的容器不能盛放丁盐的水溶液,说明甲比丁活泼,用乙制的容器却可以盛放丁盐的水溶液,说明丁比乙活泼,因此四种金属的活动性由强到弱的顺序是甲>丁>乙>丙。故选:B。
6.“愚人金”实为铜锌合金,外观与黄金极为相似,常被不法商贩冒充黄金牟取暴利,下列关于鉴别“愚人金”与黄金的实验方案,合理的是

比较硬度,硬度小的是“愚人金”
灼烧,表面变色的是“愚人金”
浸没在稀硫酸中,表面有气泡产生的是“愚人金”
浸没在硫酸锌溶液中,表面附着白色物质的是“愚人金”
A.
B.
C.
D. 
【答案】D
【解析】
比较硬度,合金的硬度比纯金属的硬度大,故硬度小的是纯金,故错误;
灼烧,铜能够和氧气反应产生氧化铜,表面变黑色的是“愚人金”,故正确;
浸没在稀硫酸中,锌能够和稀硫酸反应产生氢气,因此表面有气泡产生的是“愚人金”,故正确;
浸没在硫酸锌溶液中,三种金属都不能和硫酸锌反应,无法鉴别,故错误;
故选:D。
7.Mg、Al、Zn的混合物共7.2g,与足量盐酸反应,生成H2质量可能是( )
A.0.2gB.0.6gC.0.8gD.0.9g
根据镁、铝、锌都会与盐酸反应生成氢气,可以采用极值法分别计算三种纯金属制取的氢气质量,然后进行分析。
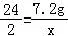
【解答】解:设7.2g镁完全反应生成的氢气质量为x
Mg﹣﹣﹣H2,
242
7.2gx

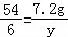
设7.2g铝完全反应生成的氢气质量为y
2Al﹣﹣3H2,
546
7.2gy

设7.2g锌完全反应生成的氢气质量为z
Zn﹣﹣H2,
652
7.2gz
≈0.22g
由于金属是镁、铝和锌的混合物,由题中的数据可知,得到氢气的质量可能为0.6g,故选:B。
8.在张献忠沉银现场,考古学家发现了金币、银币、铜币和银锭,还有铁刀、铁矛等兵器,金币银币光亮如初,铁刀铁矛铸迹斑斑。下列说法不正确的是( )
A.金银铜铁都是重要的金属资源
B.金银的化学性质比铜铁更稳定
C.自然界中,金、银、铜、铁主要以单质的形式存在
D.可以用银、铁、硫酸铜溶液验证银、铁、铜三种金属的活动性顺序
9.用铝丝、洁净的铜丝、稀盐酸、AgNO3溶液,验证Al、Cu Ag的活动性顺序。
(1)把打磨过的铝丝和洁净的铜丝分别浸入稀盐酸中,观察到铝丝表面有气泡产生,铜丝表面无明显现象,由此判断出Al和Cu的活动性强弱顺序为 Al >(H)> Cu ;发生反应的基本反应类型是 置换反应 ;铝丝使用前需用砂纸打磨的原因是 除去铝表面致密的氧化铝薄膜,防止其影响反应 ;
(2)为了达到实验目的,除(1)中实验外,还需要进行的实验是 将铜丝浸入硝酸银溶液中 。
10.铜丝作导线是利用了其良好的 导电 性;铁锈(主要成分是Fe2O3)可用 稀盐酸(或稀硫酸) 除去,该反应的生成物为H2O和 氯化铁 ;铝制品耐腐蚀是因其表面生成了致密的氧化铝薄膜,该反应的化学方程式为 4Al+3O2═2Al2O3。
11.厉害了,我的国!“中国智慧”“中国制造”誉满全球。
(1)平昌冬奥会闭幕式上,“北京八分钟”表演活动,演员穿着高2.35米,重量仅有20斤的熊猫木偶服饰进行轮滑表演(如图1所示)受到全球瞩目。

①图中标识物质中,属于有机合成材料的是 塑料 ,含有金属元素的是 铜丝线(或铝合金) (写出一种即可)
②铜丝线用于连接LED灯,主要是利用其 导电性 ;铝合金是制作熊猫木偶的材料之一,主要是利用其密度小、延展性好 的性质。
(2)中国首艘国产航母首次海试,让世人刮目相看。航母的飞行甲板,既能承受舰载机起降时产生的强烈冲击和摩擦,也能承受舰载机的尾流喷射,还能遭受潮湿盐雾的海洋大气环境侵蚀。由此可推知,制造飞行甲板的材料具有的性质是 硬度大、熔点高、抗腐蚀性能强 (至少答三点)。
12.实验室中发现一瓶因长期放置而被氧化的铝粉。取6.0克铝粉样品,将100克稀硫酸逐滴加入其中,固体质量随加入硫酸溶液质量的变化情况如图所示,实验过程中测得产生氢气0.1克。请计算:
(1)样品中铝单质的质量。(写出计算过程)。
(2)硫酸溶液的溶质质量分数为 24.5% 。

【解答】解:(1)设铝的质量为x,
2Al+3H2SO4=Al2(SO4)3+3H2↑
546
x0.1g

x=0.9g
答:样品中铝的质量为0.9g。
(2)设与铝反应的硫酸溶质的质量为m,与氧化铝反应的硫酸溶质质量为n,
因铝的质量为0.9g,所以样品中氧化铝的质量为6g﹣0.9g=5.1g
2Al+3H2SO4=Al2(SO4)3+3H2↑Al2O3+3H2SO4=Al2(SO4)3+3H2O
98×361023×98
m0.1g5.1gn


m=
n=
m=4.9gn=14.7g
总共消耗硫酸溶质为4.9g+14.7g=19.6g,根据图象可看到共用去硫酸溶液为80g,
硫酸的溶质质量分数为=
%=24.5%
答:(1)样品中铝单质的质量为0.9g,(2)硫酸溶液的溶质质量分数为24.5%。