中考数学前沿:选择|填空|解答3*3——代数/几何/概统

四季读书网 6 0
中考数学前沿:选择|填空|解答3*3——代数/几何/概统
应有关请求,解读九下数学4月适应性训练选择|填空|解答倒3题
第8题,基本统计量
中考数学前沿:选择|填空|解答3*3——代数/几何/概统 第1张
中位数,众数,平均数,方差
中考数学前沿:选择|填空|解答3*3——代数/几何/概统 第2张
第9题,菱形,图形变换
中考数学前沿:选择|填空|解答3*3——代数/几何/概统 第3张
菱形:特殊的平行四边形
图形变换:平移、旋转、位似
导角:角的数量关系
三角形内角和:180°
中考数学前沿:选择|填空|解答3*3——代数/几何/概统 第4张
第10题,二次函数图象
中考数学前沿:选择|填空|解答3*3——代数/几何/概统 第5张
二次函数图象:开口朝向,对称轴,顶点,与坐标轴交点,图象走势
中考数学前沿:选择|填空|解答3*3——代数/几何/概统 第6张
第14题,反比例函数图象
中考数学前沿:选择|填空|解答3*3——代数/几何/概统 第7张
反比例函数图象:轴对称,中心对称;点坐标与坐标轴所围成矩形面积
中考数学前沿:选择|填空|解答3*3——代数/几何/概统 第8张
第15题,正多边形
中考数学前沿:选择|填空|解答3*3——代数/几何/概统 第9张
正多边形:三角形绕中心旋转;内角、外角;外角和
中考数学前沿:选择|填空|解答3*3——代数/几何/概统 第10张
第16题,矩形,最大角
中考数学前沿:选择|填空|解答3*3——代数/几何/概统 第11张
矩形:特殊的平行四边形
锐角最大,函数值最大
圆,切线:直线与圆的边界位置关系,弦切角
中考数学前沿:选择|填空|解答3*3——代数/几何/概统 第12张
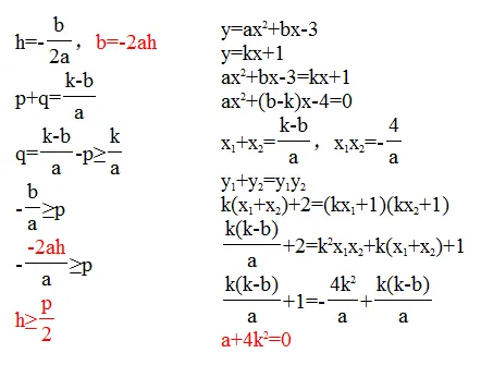
第23题,直线,抛物线,不等式
中考数学前沿:选择|填空|解答3*3——代数/几何/概统 第13张
二次函数配方:对称轴,顶点坐标
直线与抛物线相交:韦达定理
解不等式
中考数学前沿:选择|填空|解答3*3——代数/几何/概统 第14张
第24题,基于真实情境的数学应用
中考数学前沿:选择|填空|解答3*3——代数/几何/概统 第15张中考数学前沿:选择|填空|解答3*3——代数/几何/概统 第16张中考数学前沿:选择|填空|解答3*3——代数/几何/概统 第17张
抛物线:对称轴,顶点坐标
锐角三角函数值
3点共线的几何证明:对顶角相等;线段和相等
三角形相似
点到圆的最大、最小距离在点与圆心的连线上
中考数学前沿:选择|填空|解答3*3——代数/几何/概统 第18张中考数学前沿:选择|填空|解答3*3——代数/几何/概统 第19张中考数学前沿:选择|填空|解答3*3——代数/几何/概统 第20张
第25题,平行四边形
中考数学前沿:选择|填空|解答3*3——代数/几何/概统 第21张
平行四边形:对角相等,对角线互相平分,对边平行且相等
三角形相似:对应角相等,对应边成比例
中考数学前沿:选择|填空|解答3*3——代数/几何/概统 第22张中考数学前沿:选择|填空|解答3*3——代数/几何/概统 第23张

抱歉,评论功能暂时关闭!