这是北京市前几年的一道中考平面几何压轴题。以下的解法来自于《搞定平面几何:辅助线是怎么来的》这本书上篇17题中的第7题,我给出了8种证明方法,覆盖了如何证明一个角是直角(或两条直线垂直)的所有思路,也涉及了平面几何的大部分知识点。如果你即将面临中考,还在为平面几何压轴题的辅助线而烦恼,那么这本书是你的不二之选。重点不是刷了多少题,而是把每道题吃透,真正搞清楚每一种方法的思路是怎么来的。
已知:△ABC中,∠B=∠C=α,AH⊥BC于H,点D,F在BC边上,若HD=GD,DC=DF,∠HDG=2α,求证:AG⊥FG。

在下手之前,不妨先想一想证明一个角是直角(或两条线垂直)有哪些思路,我能想到的大概如下:
1、直接通过角度计算得出其为90°;
2、等腰三角形的中线垂直于底边;
3、直角三角形的中线等于斜边长度的一半(将角度转换为边的数量关系);
4、利用四点共圆,直径所对的圆周角为直角;
5、利用全等或相似三角形,证明目标角所在的三角形全等或相似于某个直角三角形;
6、利用勾股定理的逆定理;
7、解析几何中斜率乘积为-1的两条直线垂直。
下面就来看看这些思路是否可行。
方法一:利用等腰三角形的中线垂直于底边。
首先,∠FGA位于三角形FGA中,显然我们首先要连接AF。为了证明AG⊥FG,我们可以将FG看成是高,也可以把AG看成是高。
如果把FG看成是高,那我们就要延长AG到M使得GM=GA,然后试图证明AF=FM。这样的辅助线作法似乎不能有效利用FD=DC和∠HDG=2α这两个条件。

如果把AG看成高呢,那我们就延长FG至M,使得GM=GF。此时,我们发现GD是△FCM的中位线,因此MC=2GD且GD//MC。从而∠GDH=∠MCD=2α,因此∠ACM=α=∠ABF。这样就把题目中的几个条件有机地联系起来了。
由于MC=2GD=2HD,而BF=BH-FH=HC-FH=HD+DC-FH=HD+DF-FH=2HD,因此MC=FB。因此,△ABF≌△ACM,从而AF=AM,即三角形AFM为等腰三角形,从而AG⊥FG。
方法二:利用直角三角形的中线长度为斜边的一半。
同样连接AF。为了证明AFG为直角三角形,我们可以取AF的中点K,连接KG,从而只需要证明KG=AF/2。
直接证明比较困难,我们注意到△AFH已经是直角三角形了,如果连接KH,那么。因此,只要证明KG=KH即可。
这时再联系题目中的条件HD=GD,如果KG=KH确实成立,那么应该有:△KHD≌△KGD。
为此,我们连接KD。KD为△AFC的中位线,因此KD//AC,从而∠KDF=∠C=α。由于∠HDG=2α,因此DK平分∠HDG。

由于HD=GD, ∠HDK=∠GDK,DK=DK,因此△KHD≌△KGD,从而KG=KH。这就完成了整个证明。
或者,如果我们一开始注意到∠HDG=2α,也可以先作∠HDG的角平分线,使其交AF与K,然后根据∠HDK=∠C=α得出DK//AC,从而DK为△FAC的中位线,推出K为AF的中点,后续证明相同。
方法三:利用相似三角形。
为了证明∠FGA为直角,我们观察△AFG,看上去它可能跟△ABH相似。但要直接证明这两个三角形相似却不那么简单,即便证明两个角相等都不容易。
如果我们连接GH,那由于DG=DH且∠HDG=2α,因此∠GHD=90°-α,从而∠AHG=α=∠ABF。如果△AFG~△ABH的话,那么∠FAG=∠BAH,从而∠HAG=∠BAF,这表明△AHG应该相似于△ABF。

△AHG和△ABF是否相似呢,我们已经有∠AHG=∠ABF了,只要证明对应的边比值相等即可。

BF=BH-FH=HC-FH=HD+DC-FH=HD+DF-FH=2HD,因此

由于∠HDG=2α且DG=DH,因此

从而

因此△AHG~△ABF。从而有:
(1)∠HAG=∠BAF,进而得∠FAG=∠BAH;
(2)AG:AH=AF:AB,即AG:AF=AH:AB。
由上面两点可得:△AGF~△AHB,从而∠AGF=∠AHB=90°。
方法四:利用四点共圆或角度转化。
要证明∠AGF为直角,只需要证明A, F, H, G四点共圆。连接AF, GH,如果能证明∠GFH=∠GAH就可以了。事实上,假如证明了这两个角相等,也不需要用四点共圆,直接通过角度计算就可以证明∠AGF=90°,这是因为∠AFG+∠FAG=∠AFG+∠GAH+∠FAH=∠AFG+∠GFH+∠FAH=∠AFH+∠FAH=90°,从而∠AGF=90°。

直接证明这两个角相等比较困难,我们可以再思考一下题目的条件。由于D为FC的中点,一个常用的做法是倍长中线,即延长GD至M,使得DM=GD。这样的辅助线有两个结果,一方面CM=GF且CM//GF,从而∠GFH=∠HCM,另一方面由于HD=GD=DM,因此△GHM为直角三角形且∠DHM=∠DMH=α=∠AHG。这表明,如果∠GFH=∠GAH成立的话,那△AGH~△CMH。
由于

因此

这就证明了△AGH~△CMH,完成了证明的最后一块拼图。
方法五、六:利用五点共圆。
由于∠C=α,而∠HDG=2α,是不是很希望建立这两者之间的联系?除了像第二种方法那样作∠HDG的角平分线之外,是不是也可以把∠HDG看成是∠C所在的一个三角形的外角?
为此,我们可以延长DG到M,连接MF, AF和GH。由于∠HDG为△MDC的外角,因此∠DMC=∠HDG-∠C=α,因此△MDC为等腰三角形。

并且,由于DM=DC=DF,∠DMF=(180°-2α)/2=90°-α,从而∠FMC=∠FMA=90°。而∠FHA=90°,因此F, A, M, H四点共圆。
既然F、A、M、H四点共圆,为了证明G也在这个圆上,我们只需要证明G和F、A、M、H中的任何三点共圆即可。
由于DG=DH且∠HDG=2α,所以∠DGH=90°-α=∠HAC,因此G, H, A, M四点共圆。
或者,不证明G, H, A, M四点共圆,而是证明G, H, F, M四点共圆。由于△MDC为等腰三角形,因此MD=CD=FD,从而MG=MD-GD=FD-HD=FH,因此GHFM为等腰梯形,从而G, H, F, M四点共圆。
无论用哪种方法,我们都证明了A, F, H, G, M五点共圆,从而∠AGF=∠AHF=90°。
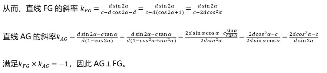
方法七:利用直线的斜率乘积为-1。
这个方法的思路很简单,即建立坐标系,求出AG和FG的直线方程,然后计算其斜率的乘积。
如图,以H为坐标原点建立直角坐标系,设C(c, 0), D(d, 0), 则其余关键点的坐标分别为:



方法八:利用余弦定理和勾股定理逆定理。
这一解法纯粹是我的一个执念,为了表明条条大路通罗马。其实思路也很简单,但运算稍显复杂。

在△AGH中应用余弦定理有:
AG2=AH2+HG2-2AH·GHcosα
在△FGD中应用余弦定理有:
FG2=DF2+DG2-2DF·DGcos2α
在△ABF中应用余弦定理有:
AF2=AB2+BF2-2AB·BFcosα
要证明:AF2= AG2+ FG2
即证明:
AB2+BF2-2AB·BFcosα
=AH2+HG2-2AH·GHcosα+DF2+DG2-2DF·DGcos2α
思路就是这样,下面就是稍显繁琐但又有一定技巧性的计算推理。
将BF=2DH, DG=DH, GH=2DHsinα代入,即要证明:
AB2+4HD2-4AB·HDcosα
= AH2+4DH2sin2α-4AH·DHsinαcosα+DF2+DH2-2DF·DHcos2α
= AH2+DF2+DH2+4DH2sin2α-4AH·DHsinαcosα-2DF·DHcos2α
由于DH=CH-CD=BH-DF,代入即:
AB2+4DH2-4AB·DHcosα
= AH2+DF2+(BH-DF)2+4DH2sin2α-4AH·DHsinαcosα-2DF·DHcos2α
=AH2+BH2+2DF22BH·DF+4DH2sin2α-4AH·DHsinαcosα-2DF·DHcos2α
= AB2+2DF(DF-BH)+4DH2sin2α-4AH·DHsinαcosα-2DF·DHcos2α
= AB2-2DF·DH+4DH2sin2α-4AH·DHsinαcosα-2DF·DHcos2α
= AB2-2DF·DH(1+cos2α)+4DH2sin2α-4AH·DHsinαcosα
= AB2-2DF·DH(1+2cos2α-1)+4DH2sin2α-4AH·DHsinαcosα
= AB2-4DF·DHcos2α+4DH2sin2α-4AH·DHsinαcosα
即要证明:
4DH2cos2α-4AB·DHcosα=-4DF·DHcos2α-4AH·DHsinαcosα
两边约去4DHcosα即:
DHcosα+DFcosα+AHsinα=AB
由于DH+DF=DH+DC=CH=BH,因此即证明:
BHcosα+AHsinα=AB
由于ABH为直角三角形,上式显然成立,倒推过去可得:AF2= AG2+ FG2
由勾股定理逆定理知△AFG为直角三角形,从而AG⊥FG。
平时我们解题的时候,要尽量从不同的角度思考一个问题。更重要的是,要有的放矢地去思考。可以看到,通过这道题的八种解法,几乎把平面几何的主要知识点都过了一遍。这样,就能把一道题的效用发挥到最大。
延伸阅读:
关于昍(xuan)爸的课程介绍,请看下面几篇文章:
1. 给家长的数学启蒙引导课:给家长的数学启蒙引导课介绍(适合三年级及以下家长)
2. 数学思维课(第一期):思路是怎么来的——昍爸的数学思维课程介绍
3. 数学思维课(第二期):昍爸的数学与思维课(第二期)终于上线了!
4. 数学思维课(第三期):昍爸的数学思维课(第三期)上线!附所有课程开学季特惠!
5. 数学思维课(第四期):昍爸的数学思维课(第四期)介绍和团购通知
6. 初等数论课程:因式分解和数论,哪个更该学?