中考科学高频易错——一道涉及溶液相关知识的综合错题分析

四季读书网 9 0
中考科学高频易错——一道涉及溶液相关知识的综合错题分析
    时间很快,又是一周,也临近中考一模了,本文,我们来分析一道涉及溶液相关知识的综合错题,题目如下
中考科学高频易错——一道涉及溶液相关知识的综合错题分析 第1张
这一题我经过了小改,把选择错误的变成选择正确的,这样会进一步增加难度,后期大家也可以这样去训练自己
依旧我们先来进行所涉知识点的梳理:
1、一杯溶液饱不饱和,常用两个方法判:
(1)一个我们可以根据图去判,如果底部有残余不溶解的,则不饱和;
(2)如果图中看不出来,则根据该温度下的溶解度,通过比例去进行计算
2、溶液中溶质质量分数的计算:
中考科学高频易错——一道涉及溶液相关知识的综合错题分析 第2张
3、一杯不饱和溶液,还能继续溶解多少, 我们主要根据该溶液中有多少溶剂,然后根据该温度下的溶解度,通过比例计算
4、溶解度的定义,在一定温度下,每100g溶剂中最多能够溶解的物质的质量,溶剂一般是水
如硝酸钾在20℃时的溶解度是31.6g,说明该温度下,100g水中最多可以溶解31.6g硝酸钾
5、溶解度在溶质、溶剂不变的情况下,一般考虑温度对其影响,气体的话还需要考虑压强
6、同温度下的,同种物质的饱和溶液质量分数是相同的;溶剂不变,不饱和溶液,加入溶质越多,质量分数越大
回到本题:
(1)根据上述第1条,
中考科学高频易错——一道涉及溶液相关知识的综合错题分析 第3张
图中烧杯底部没有残余物质,所以根据第一种方法我们判断不出来;我们利用第二种方法进行计算,由乙图,得,硝酸钾的溶解度是31.6g,由甲图,得100g水中,硝酸钾加了两次,共40g,如下图所示,但是只有31.6g是溶解的,故B是饱和溶液
中考科学高频易错——一道涉及溶液相关知识的综合错题分析 第4张
至E时,温度仍是20℃,所以溶解度不变,但是从A到E加了三次20g,如下图
中考科学高频易错——一道涉及溶液相关知识的综合错题分析 第5张
所以E仍旧是饱和溶液
(2)根据上述第2、6,可以得到:
中考科学高频易错——一道涉及溶液相关知识的综合错题分析 第6张
故:D>C>B=E>A,B项正确
(3)图中烧杯中都是溶剂100g,D的时候,硝酸钾已经加了3次20g,温度是50℃。溶解度是85.5,属于不饱和溶液,还需要加85.5-60=25.5g,故C项正确
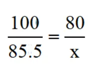
如果原先水的量不是100g,而是80g,那我们可以根据溶解度计算,可以按照下式比例计算:
中考科学高频易错——一道涉及溶液相关知识的综合错题分析 第7张
x表示80g水中最多溶解的量,然后扣除原先加进去的,剩余的就是还需要加入的量
(4)D的质量分数我们上面已经算了,属于不饱和溶液,质量分数是37.5%,故D项错误
最终,该题选择正确的是ABC
总结:
(1)临近一模考,不管是平时的练习,还是测试,我们在解题的时候,要对每个选项,每个细节点进行仔细的分析,推理,而不是看着哪个对,就选哪个,很多同学都有这样一个不好的习惯,没有看清楚,没有仔细分析清楚就已经落笔了。这是学习,得高分的大忌
(2)建立了一个免费的中考学习交流群,会不定期分享重难点题型和知识点总结归纳,有需要的家长可以下方扫码加入,码过期,加我微信cby3008拉进来
中考科学高频易错——一道涉及溶液相关知识的综合错题分析 第8张
推荐阅读文章:
中考科学高频易错——一道涉及非纯电阻电路的计算错题分析
中考科学高频易错——一道涉及压强的错题分析
中考科学高频易错——一道涉及计算密度的错题分析
中考科学高频易错——一道涉及生物、物理综合的错题分析

抱歉,评论功能暂时关闭!