实数包含有理数与无理数,有理数是整数和分数的统称,可化为有限或无限循环小数;无理数是无限不循环小数,如 π、开方开不尽的数。实数与数轴上的点一一对应,数轴上右边的数总大于左边的数。
实数的相关概念是考查重点:相反数是符号不同、绝对值相等的两个数,和为 0;绝对值表示数到原点的距离,结果非负;倒数是乘积为 1 的两个数,0 没有倒数。科学记数法用于表示大数或小数,形式为a×10n(1≤∣a∣<10)。
实数运算遵循先乘方、开方,再乘除,最后加减,有括号先算括号内的规则。平方根与算术平方根易混淆,一个正数有两个互为相反数的平方根,算术平方根为非负;立方根唯一,正负性与原数一致。实数比较大小常用作差法、绝对值法或估算法,无理数常通过近似值比较。此外,实数的非负性应用广泛,常见于绝对值、平方、算术平方根的和为 0 的题型。















链接:https://pan.baidu.com/s/1Wt8eRJ-U3HBaGuUh1cmBxQ?pwd=8888 提取码:8888 复制这段内容后打开百度网盘手机App,操作更方便哦
文章来源:
四季读书网
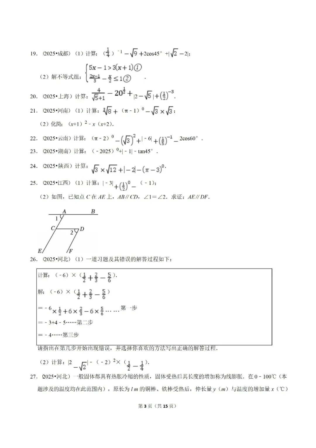
版权声明:本文内容由互联网用户自发贡献,该文观点仅代表作者本人。本站仅提供信息存储空间服务,不拥有所有权,不承担相关法律责任。如发现本站有涉嫌抄袭侵权/违法违规的内容, 请发送邮件至23467321@qq.com举报,一经查实,本站将立刻删除;如已特别标注为本站原创文章的,转载时请以链接形式注明文章出处,谢谢!