2026年高三年级第二次模拟考试试题数学+参考答案

四季读书网 7 0
2026年高三年级第二次模拟考试试题数学+参考答案
2026年高三年级第二次模拟考试试题数学+参考答案 第1张
2026年高三年级第二次模拟考试试题数学+参考答案 第2张
2026年高三年级第二次模拟考试试题数学+参考答案 第3张
2026年高三年级第二次模拟考试试题数学+参考答案 第4张
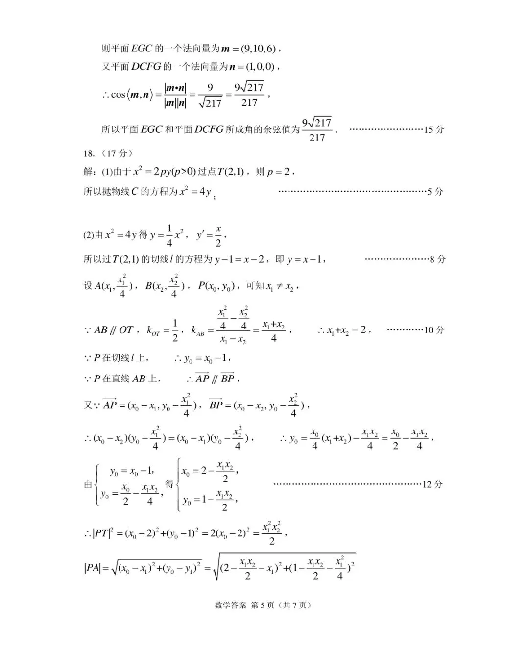
2026年高三年级第二次模拟考试试题数学+参考答案 第5张
2026年高三年级第二次模拟考试试题数学+参考答案 第6张
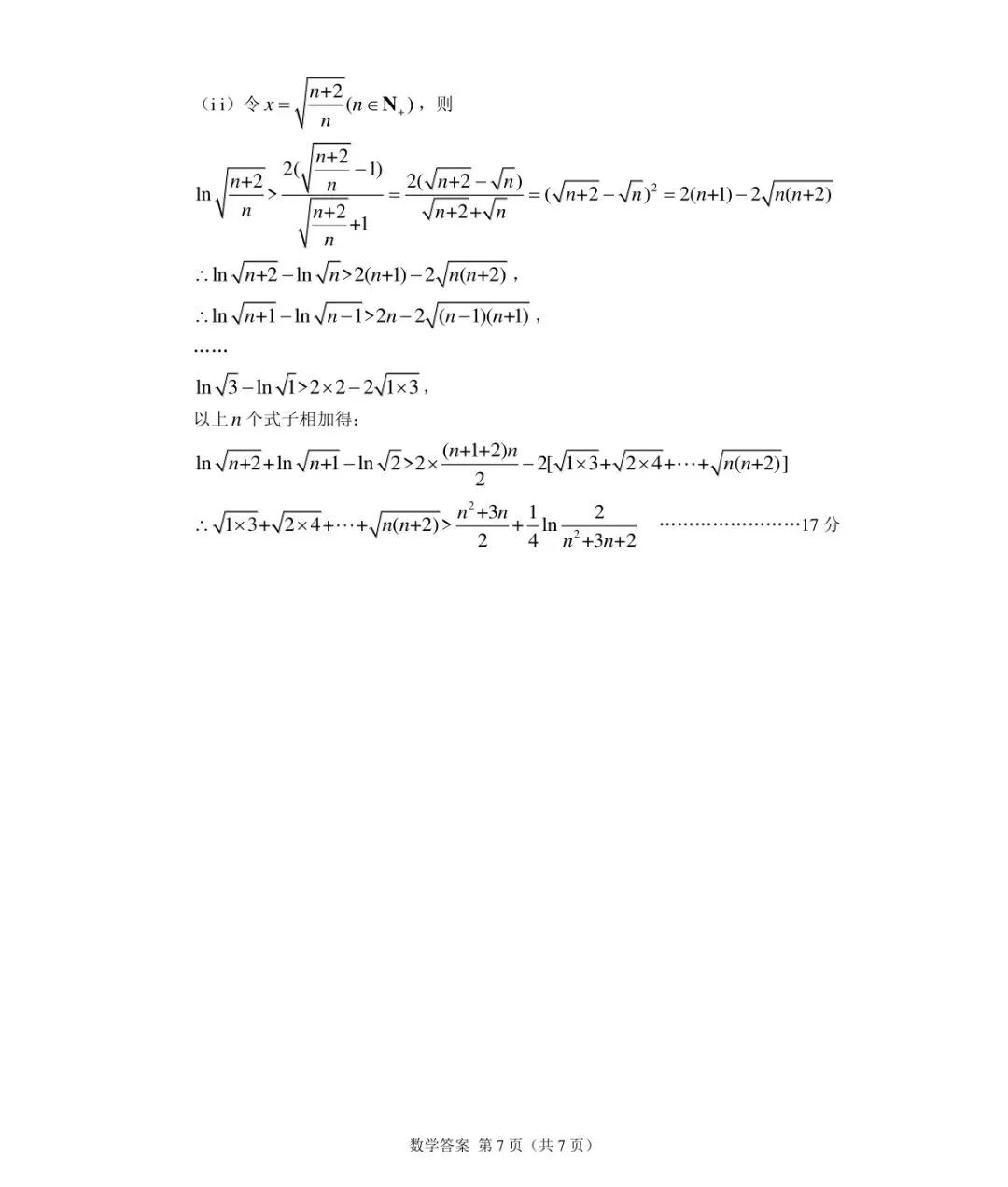
2026年高三年级第二次模拟考试试题数学+参考答案 第7张
2026年高三年级第二次模拟考试试题数学+参考答案 第8张
2026年高三年级第二次模拟考试试题数学+参考答案 第9张
2026年高三年级第二次模拟考试试题数学+参考答案 第10张
2026年高三年级第二次模拟考试试题数学+参考答案 第11张

抱歉,评论功能暂时关闭!