【中考物理】中考物理电学综合计算错题再现
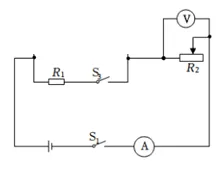
现有如图甲所示电路,电源电压保持不变,电压表量程为0~15V,电流表量程为0~3A,R1为15Ω的定值电阻,L上标有“18V 27W”字样(灯丝电阻保持不变),R2的铭牌为“?Ω?A”。当S1、S2闭合,S3断开,滑动变阻器的滑片在某一端时,电流表示数为0.25A;保持滑动变阻器的滑片不动,闭合S1、S3,断开S2,在保证电路安全情况时,将滑片向另一端移动,电压表和电流表示数如图乙所示。则在保证电路安全情况下,求:
(1)当S1、S2闭合,S3断开,滑动变阻器的滑片在某一端时的等效电路图。(5)当S1、S3闭合,断开S2断开时,在电路安全的情况,求电路的最大功率和最小功率。(6)当S1、S3闭合,S2断开时,R2的最大功率。参考答案
(1)解析和答案:由乙图可知,滑动变阻器滑动过程中电流变大,说明最开始处于最大值。

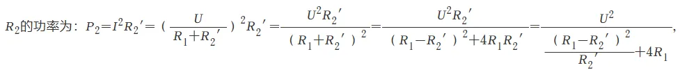
(3)解析及答案:此时电流为0.24A且是整个过程中的最小值,所以滑动变阻器在最大阻值。(4)解析及答案:AB、由上述分析可知,当S1、S2闭合,S3断开时,滑动变阻器的滑片在最右端,变阻器接入电路的阻值最大,此时电路为L和R2的串联电路,电流表测电路中的电流,电压表测R2两端的电压; 已知此时电流表的示数为0.25A,即电路中的电流为I1=0.25A,由欧姆定律和串联电路的电阻特点可知电源电压为:U=I1R=I1(RL+R2),即U=0.25A×(12Ω+R2)---①; 当闭合S1、S3,断开S2时,该电路为R1和R2的串联电路,电流表测电路中的电流,电压表测R2两端的电压;当滑动变阻器的滑片在最右端时,变阻器接入电路阻值最大时,由图乙可知此时电路中电流应为I2=0.24A,同理可得电源电压为:U=I2R′=I2(R1+R2),即U=0.24A×(15Ω+R2)---②; 当S1、S3闭合,断开S2断开时,R1和R2串联,电流表测电路中的电流,电压表测R2两端的电压, 当R1和R2的最大阻值串联时,电路的总电阻最大,由欧姆定律可知此时电路中的电流最小,电路总功率最小,则最小总功率为:P小=I2U=0.24A×18V=4.32W;②当变阻器R2接入电路的阻值为允许的最小值时,电路中电流最大,电路总功率最大;变阻器R2接入电路的阻值为允许的最小值时,由串联分压的规律可知变阻器R2两端的电压最小(即电压表示数最小),由图乙可知电压表的最小示数为3V, 根据串联电路的电压特点可知,此时R1两端的最大电压:U1大=U-U2小=18V-3V=15V, 整个电路的最大总功率:P大=UI大=18V×1A=18W。R2两端最小电压为:U2小=3V,电路中的最大电流为:I大=1A,由上述分析可知,当S1、S3闭合,断开S2断开时,R2的取值范围是3Ω~60Ω;所以,当R2′=R1=15Ω时R2的功率最大,此时R2的阻值在允许的取值范围内,练习:(2024秋•垫江县校级月考)如图甲所示电路,电源电压不变,定值电阻R=10Ω,灯泡L上标有“30V,30W”(忽略灯丝电阻的变化),滑动变阻器R的铭牌未知,电流表量程0~3A,电压表量程0~15V。当开关S、S闭合,S断开,滑动变阻器的滑片在某一端时,电流表示数为0.2A;保持滑动变阻器的滑片不动,当开关S、S闭合,S断开,在保证电路安全情况下,将滑片最大范围的向另一端移动,电压表和电流表示数变化如图乙所示。在保证电路安全的情况下,以下说法正确的是( )②只闭合开关S、S,滑动变阻器R的最大功率是3.6W④任意闭合开关并调节滑片,整个电路的最大电功率是19.2W 市级课题《数字化视域下“共学课堂”的实践研究》,区《公众号建设驱动的初中物理共学课堂模式实践研究》,大中衔接课题《初中物理生活化实验开发与公众号科普应用研究》研究成果。大中课题组成员:牟银勇、牟嘉乐、卓莉萍、黄莎、郭敏
版权声明:本文内容由互联网用户自发贡献,该文观点仅代表作者本人。本站仅提供信息存储空间服务,不拥有所有权,不承担相关法律责任。如发现本站有涉嫌抄袭侵权/违法违规的内容, 请发送邮件至23467321@qq.com举报,一经查实,本站将立刻删除;如已特别标注为本站原创文章的,转载时请以链接形式注明文章出处,谢谢!