温馨提示:资料已经上传至网盘,下载地址见文末。
录屏软件推荐
Bandicam v7.1.4.2458 便携特别版 - 果核剥壳
下载地址 https://pan.quark.cn/s/43c1aa11eac0
----------------------------------------------
领会方法的最佳时机,可能是读者解出一道题的时候,或是阅读它的解法的时候,也可能是阅读解法形成过程的时候,当读者完成了任务,而且他的体验在头脑中还是新鲜的时候,去回顾他所做的一切,可能有利于探究他刚才克服的困难的实质,他可以对自己提出许多有用的问题:“关键在哪里?主要的困难是什么?什么地方我可以完成得更好些?我为什么没有察觉到这一点?要看出这一点我必须具备哪些知识,应该从什么角度去考虑?这里有没有值得学习的诀窍可供下次遇到类似问题时应用?”所有这些问题都提得不错,而且还有许多别的问题--但最好的问题是自然而然地浮现在你脑海里的问题。
(数学名著译丛-数学的发现—对解题的理解,研究和讲授(全二卷)-[美]G.波利亚-刘景麟&邹清莲(译)-科学出版社-1981.pdf)
















每日分享
人这辈子千万不要马虎两件事:一是找对爱人,二是找到事业。因为太阳升起时要投身事业,太阳落山时要与爱人相拥。
我们终其一生都在寻找两个东西:
一个价值感,一个归属感。价值感来自于被肯定,归属感来自于被爱。
--稻盛和夫
曹操再奸都有知心朋友,
刘备再好都有死对头,
孙权再温柔,两边都有仇。
所以不要太在乎别人对你的评价,
你若活在别人的眼里,
必将死在别人的嘴里。
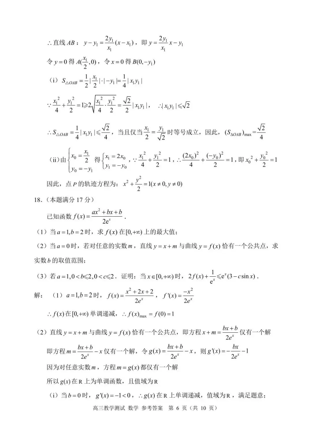
做好自己的人,
干好自己的事,走好自己的路,
世界上最愚蠢的事,
莫过于活给别人看。
其实,人一辈子活得如何,与他人无关。
做一个内心强大的人,
不轻易被外界的声音所干扰。
信仰和蔑视,表扬和批评都是对人最大的控制,
闲话一直有,不听自然无!
不要为了迎合所有人,
把自己过得太累,
费尽心思让所有的人开心,
你会忘了自己怎么笑。
别为了那些不属于你的观众,
去演绎你不擅长的人生。
时刻记住:
不要和重要的人,计较不重要的事;
也不要和不重要的人,计较重要的事。
------下载地址-----------
我用夸克网盘给你分享了「公众号」,点击链接或复制整段内容,打开「夸克APP」即可获取。
/~1d6c38EhfC~:/
链接: https://pan.quark.cn/s/138698ec09a9
提取码:iydR