▲点击上方蓝字,关注不迷路
【关注公众号回复"宁波提前招生"获取电子版】
更多浙江竞赛.拔尖.升学资讯及资料
▼关注浙越培尖,第一手获取▼
往期文章推荐
强基|2025年浙江省宁波市强基计划招生考试九年级下学期数学试卷
强基|2024年宁波初中强基计划九年级(数学·科学)模拟试卷
答案更新|宁波市北仑区强基选拔2025-2026学年上学期数学试卷
数学试卷
试卷







点击查看
答案

























左右滑动查看全卷
文章来源:
四季读书网
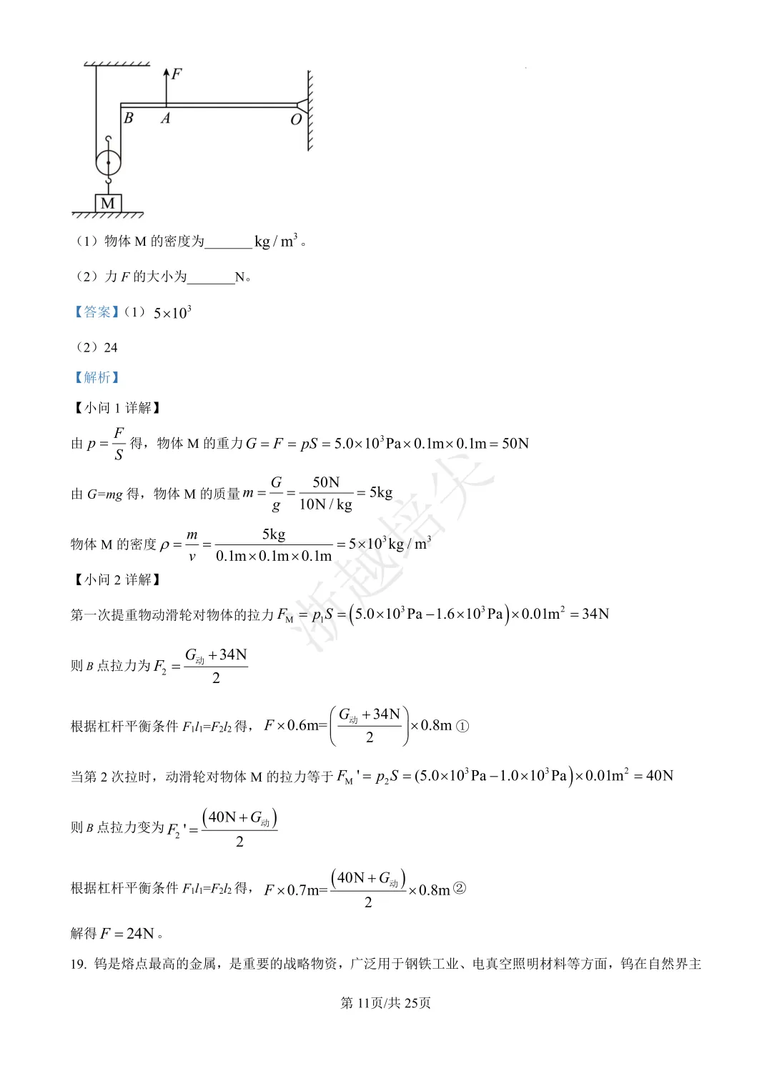
版权声明:本文内容由互联网用户自发贡献,该文观点仅代表作者本人。本站仅提供信息存储空间服务,不拥有所有权,不承担相关法律责任。如发现本站有涉嫌抄袭侵权/违法违规的内容, 请发送邮件至23467321@qq.com举报,一经查实,本站将立刻删除;如已特别标注为本站原创文章的,转载时请以链接形式注明文章出处,谢谢!