2026年河北名校九年级数学中考一模试卷

四季读书网 7 0
2026年河北名校九年级数学中考一模试卷
2026年河北名校九年级数学中考一模试卷 第1张
2026年河北名校九年级数学中考一模试卷 第2张
2026年河北名校九年级数学中考一模试卷 第3张
2026年河北名校九年级数学中考一模试卷 第4张
2026年河北名校九年级数学中考一模试卷 第5张
2026年河北名校九年级数学中考一模试卷 第6张
2026年河北名校九年级数学中考一模试卷 第7张
2026年河北名校九年级数学中考一模试卷 第8张
2026年河北名校九年级数学中考一模试卷 第9张
2026年河北名校九年级数学中考一模试卷 第10张
2026年河北名校九年级数学中考一模试卷 第11张
2026年河北名校九年级数学中考一模试卷 第12张
2026年河北名校九年级数学中考一模试卷 第13张
2026年河北名校九年级数学中考一模试卷 第14张
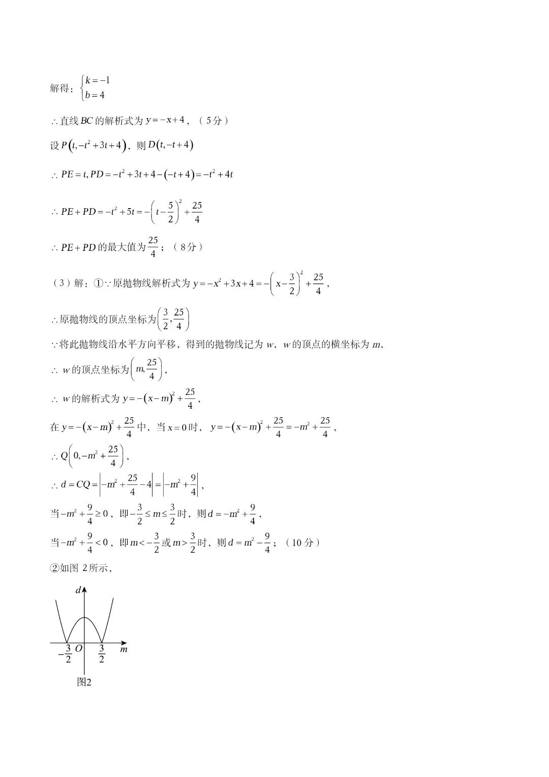
2026年河北名校九年级数学中考一模试卷 第15张
2026年河北名校九年级数学中考一模试卷 第16张
2026年河北名校九年级数学中考一模试卷 第17张

抱歉,评论功能暂时关闭!