扫码
关注,获取更多资料


2026年广东专插本高等数学真题






总体来说难度比25年还要简单
前面的题目都很常规,计算量很小;
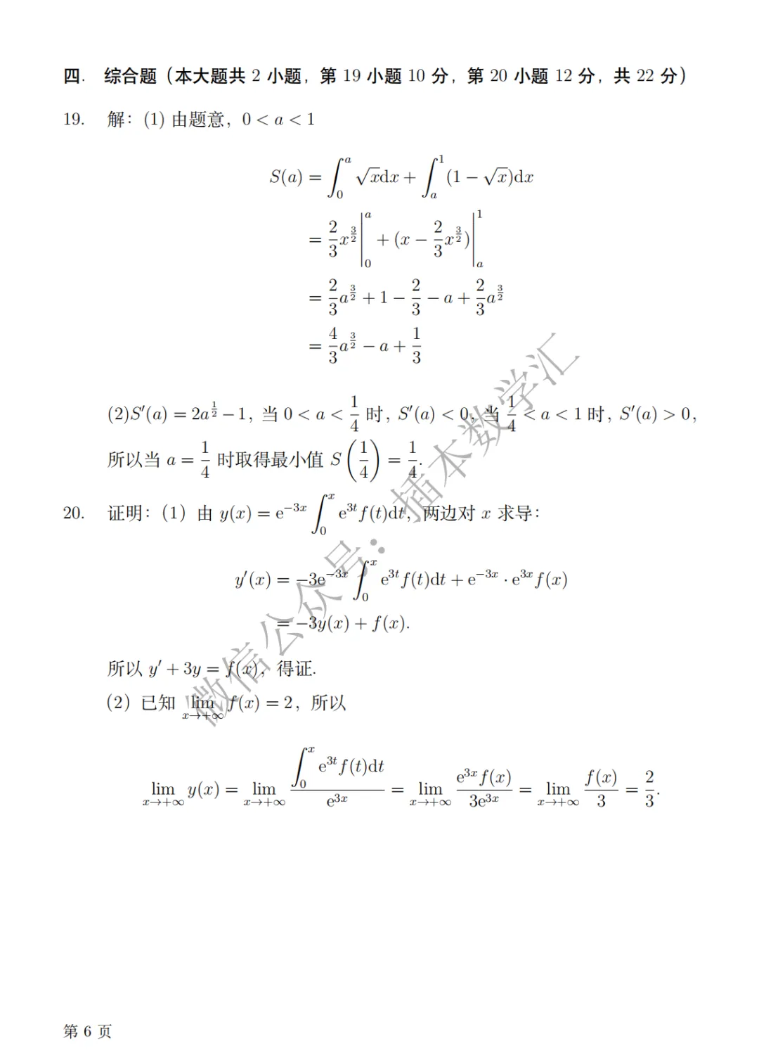
综合题考点也很常规,第19题考查定积分面积、函数最值,把图形画对就很简单,第20题两边求导证明出题干等式,再用洛必达法则求极限就行,题目看着唬人其实很简单,一两行就写完了;
继续考查第一类曲线积分,以后或将成为常态,这个知识点各位同学应该按照常规考点来备考了.

往期推荐
------- · End · -------

文章来源:
四季读书网
版权声明:本文内容由互联网用户自发贡献,该文观点仅代表作者本人。本站仅提供信息存储空间服务,不拥有所有权,不承担相关法律责任。如发现本站有涉嫌抄袭侵权/违法违规的内容, 请发送邮件至23467321@qq.com举报,一经查实,本站将立刻删除;如已特别标注为本站原创文章的,转载时请以链接形式注明文章出处,谢谢!