【高考数学真题】2010年江苏卷数学试卷+答案

四季读书网 9 0
【高考数学真题】2010年江苏卷数学试卷+答案
【高考数学真题】2010年江苏卷数学试卷+答案 第1张
【高考数学真题】2010年江苏卷数学试卷+答案 第2张
【高考数学真题】2010年江苏卷数学试卷+答案 第3张
【高考数学真题】2010年江苏卷数学试卷+答案 第4张
【高考数学真题】2010年江苏卷数学试卷+答案 第5张
【高考数学真题】2010年江苏卷数学试卷+答案 第6张
【高考数学真题】2010年江苏卷数学试卷+答案 第7张
【高考数学真题】2010年江苏卷数学试卷+答案 第8张
【高考数学真题】2010年江苏卷数学试卷+答案 第9张
【高考数学真题】2010年江苏卷数学试卷+答案 第10张
【高考数学真题】2010年江苏卷数学试卷+答案 第11张
【高考数学真题】2010年江苏卷数学试卷+答案 第12张
【高考数学真题】2010年江苏卷数学试卷+答案 第13张
【高考数学真题】2010年江苏卷数学试卷+答案 第14张
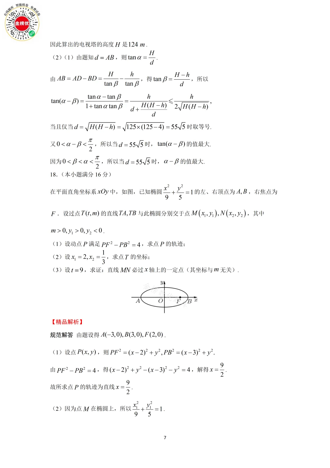
【高考数学真题】2010年江苏卷数学试卷+答案 第15张
【高考数学真题】2010年江苏卷数学试卷+答案 第16张
【高考数学真题】2010年江苏卷数学试卷+答案 第17张
【高考数学真题】2010年江苏卷数学试卷+答案 第18张
【高考数学真题】2010年江苏卷数学试卷+答案 第19张
【高考数学真题】2010年江苏卷数学试卷+答案 第20张
【高考数学真题】2009年江苏卷数学试卷+答案
【高考数学真题】2008年江苏卷数学试卷+答案
【高考数学真题】2010年江苏卷数学试卷+答案 第21张

抱歉,评论功能暂时关闭!