2025北京海淀初一上册期末数学试卷(有答案)【可下载】

四季读书网 7 0
2025北京海淀初一上册期末数学试卷(有答案)【可下载】
2025北京海淀初一上册期末数学试卷(有答案) 电子版试卷获取,后台回复:试卷
2025北京海淀初一上册期末数学试卷(有答案)【可下载】 第1张
2025北京海淀初一上册期末数学试卷(有答案)【可下载】 第2张
2025北京海淀初一上册期末数学试卷(有答案)【可下载】 第3张
2025北京海淀初一上册期末数学试卷(有答案)【可下载】 第4张
2025北京海淀初一上册期末数学试卷(有答案)【可下载】 第5张
2025北京海淀初一上册期末数学试卷(有答案)【可下载】 第6张
2025北京海淀初一上册期末数学试卷(有答案)【可下载】 第7张
2025北京海淀初一上册期末数学试卷(有答案)【可下载】 第8张
2025北京海淀初一上册期末数学试卷(有答案)【可下载】 第9张
2025北京海淀初一上册期末数学试卷(有答案)【可下载】 第10张
2025北京海淀初一上册期末数学试卷(有答案)【可下载】 第11张
2025北京海淀初一上册期末数学试卷(有答案)【可下载】 第12张
2025北京海淀初一上册期末数学试卷(有答案)【可下载】 第13张
2025北京海淀初一上册期末数学试卷(有答案)【可下载】 第14张
2025北京海淀初一上册期末数学试卷(有答案)【可下载】 第15张
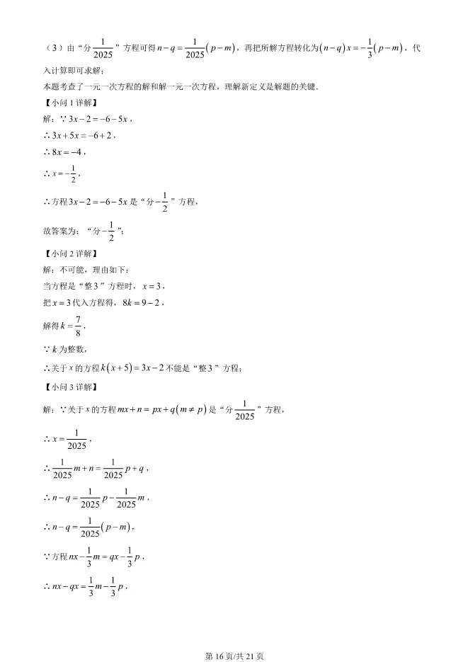
2025北京海淀初一上册期末数学试卷(有答案)【可下载】 第16张
2025北京海淀初一上册期末数学试卷(有答案)【可下载】 第17张
2025北京海淀初一上册期末数学试卷(有答案)【可下载】 第18张
2025北京海淀初一上册期末数学试卷(有答案)【可下载】 第19张
2025北京海淀初一上册期末数学试卷(有答案)【可下载】 第20张
2025北京海淀初一上册期末数学试卷(有答案)【可下载】 第21张

抱歉,评论功能暂时关闭!