天一大联考,整体难度较大,创新力度大!把关题都有较大思维量!
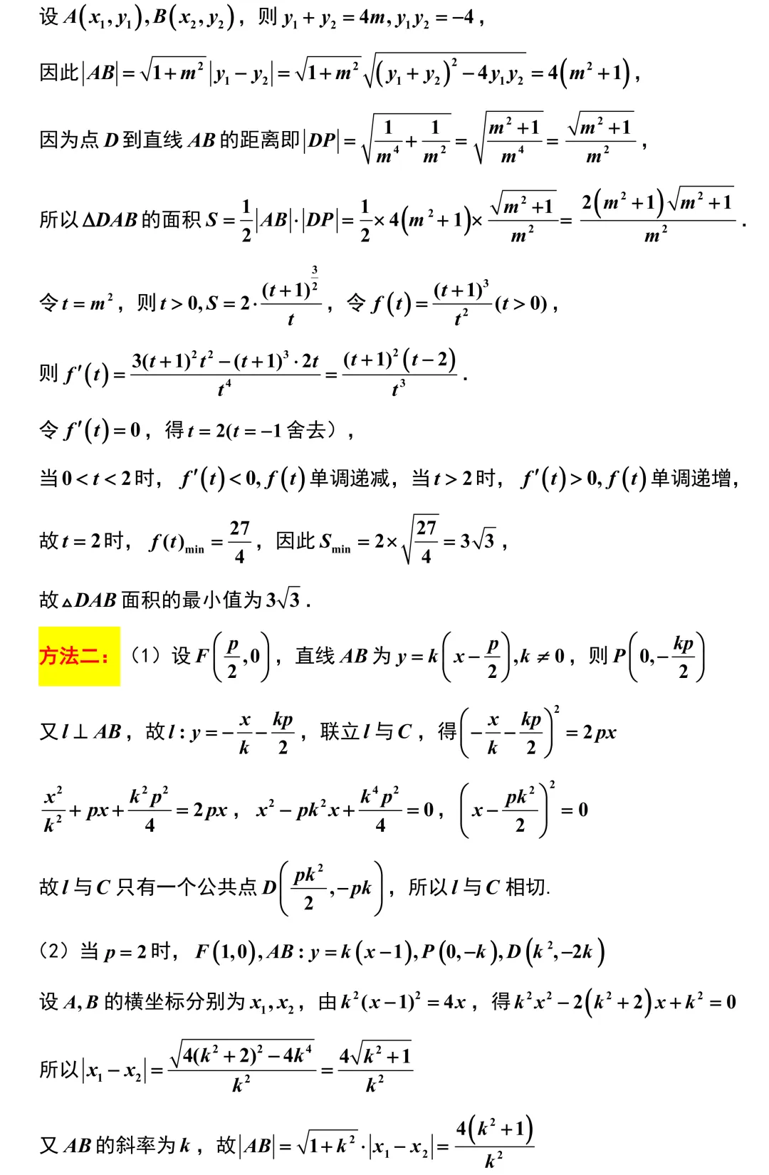
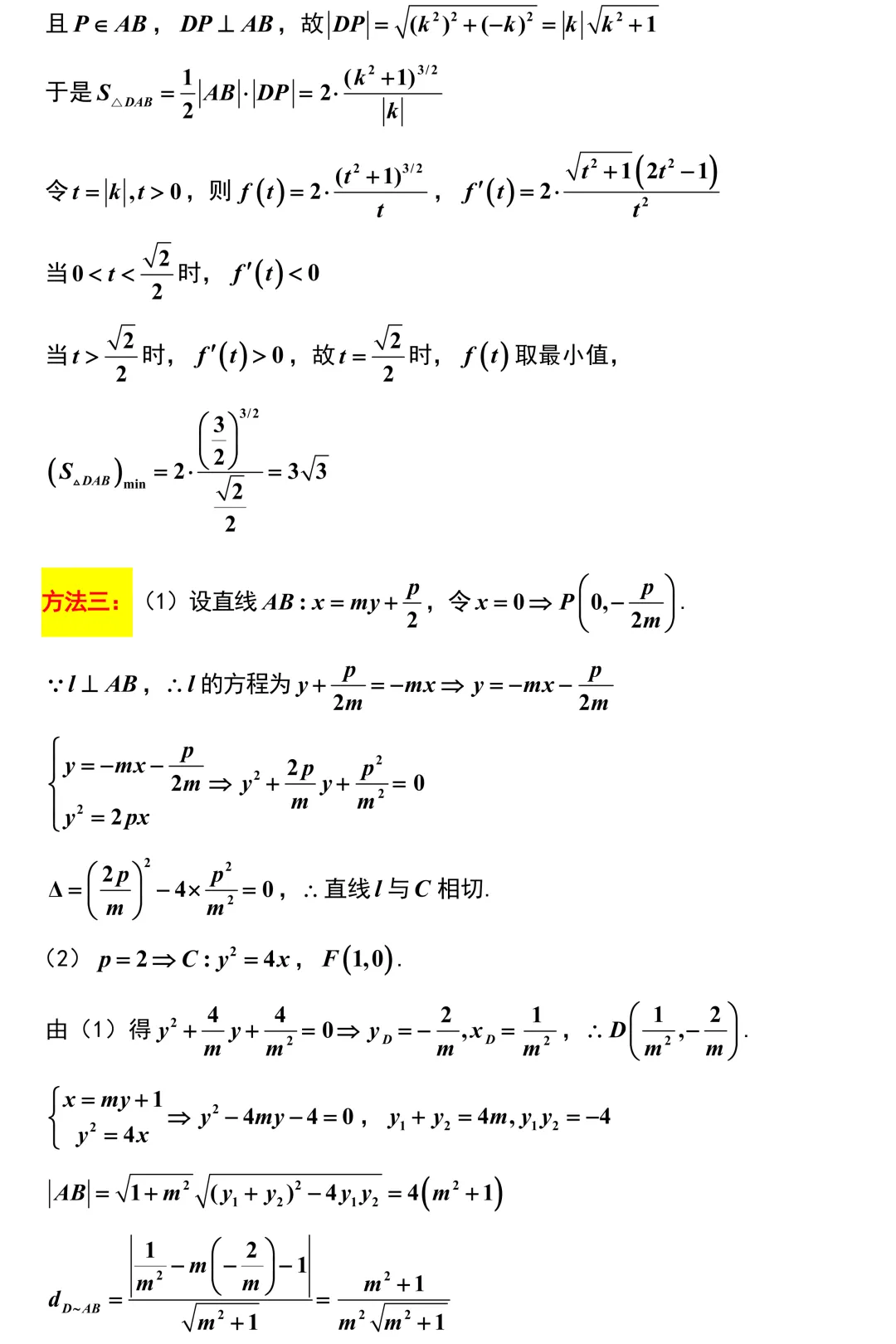
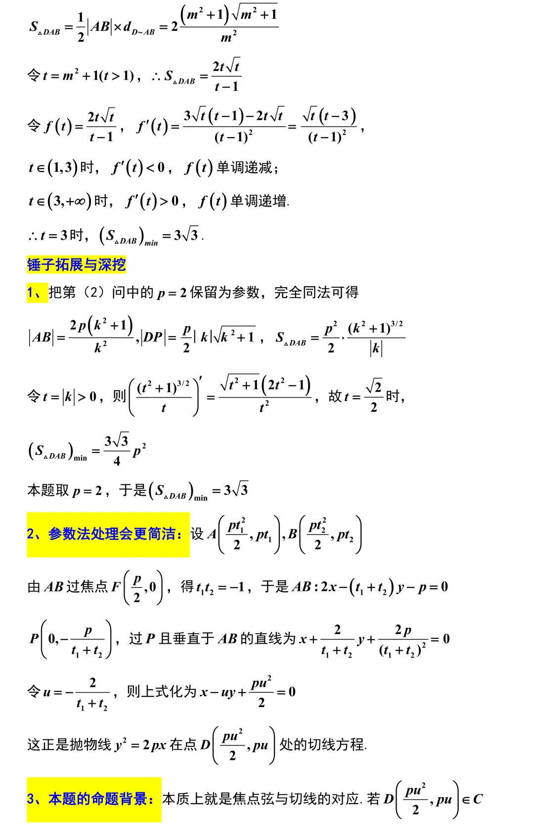
第18题,表面上考的是抛物线的焦点弦和切线问题,但做着做着,面积最值的求解就自然转化成了代数里的函数求导。第19题,把指数函数、对数函数、隐零点代换以及同构思想熬成了一锅十全大补汤。做这种题,同学们不能只盯着眼前的一步,得有全局观,脑子里的知识网络得是通透的,只有这样才能在错综复杂的条件中找到出路。第8题的分段函数考察,如果没看清极值点和水平线的交点关系,很容易就在草稿纸上绕晕。到了解答题,尤其是第16题之后的题型,不仅需要扎实的基础,更考验思维的深度。第19题的第三问,把复杂的不等式转化为函数最值求解的过程,确实能卡住不少人。如果没有深厚的数学底蕴,做到一半可能就无从下手了。
整张卷子的计算其实充满了策略性,命题老师并没有用繁琐的计算来折磨大家,而是用思维的路径来筛选高手。拿第18题来说,如果同学们选择死磕硬算,庞大的计算量绝对会让人怀疑人生;但如果懂得利用换元法,将复杂的式子巧妙地换个面貌,计算过程很快就会变得清晰明了。这种策略的选择,让计算量成了一块试金石,思路对了,四两拨千斤;思路错了,就在泥潭里慢慢挣扎吧。这其实也是在引导同学们,平时训练时要多思考如何优化步骤,而不是一味地做无情的计算机器。
第11题把简单的三角形拼接玩出了拓扑学的边界匹配感,把立体几何的静态特征量考察得淋漓尽致。
第14题的换座位游戏,乍看是个普通的排列组合,其实藏着高等数学里群论的置换周期思想。命题人巧妙地把大学数学的思维内核包裹在贴近生活的情境中。
希望大家在接下来的复习中,多一些这样深度的思考,少一些只顾埋头苦干,在高考的考场上才能游刃有余.


























