点击蓝字关注

暑期已过大半,
闭关修炼也即将进入尾声。
相信孩子们经过闭关修炼,
都成长了不少。
20考研是偶数年,
宇哥要和你们一起打破魔咒。
今年考研数学难度可能会增加,
认真做题的孩子们会发现,
今年的《1000题》、《闭关修炼》较难,
我的良苦用心,你懂。
无论闭关修炼有多难,
都是在提升你的能力,打磨你的意志。
而考研做为应试考试,
也有它一定的规律。
现在,我带你回归本质,
深挖真题的考点及命题规律,
吃透真题,拿下全年考研提分重要阶段。
根据历年大数据统计
若吃透历年真题
73.8%的考生可以3个月内提高30~40分
95.6%的考生成绩可以超过100分
100%的考生通过国家线
复习到了这个阶段
我带着你们继续向前冲!
你们,跟上!
在接下[ 练练不忘,必有回响 ]
我将带领着你们一起感受
真题的考点、考法及难度
例题也将从
【考点分析】、【多重解法】、【典型错误】
多方面剖析
若之前的每日习题你没跟上
现在跟紧我
一切来得及

练练不忘,必有回响 ★146
看看今日的例题:
例
无穷小量

【2019】
(一定要自己做过之后再看解析哦)
宇哥 · 解析



你会做了吗?
有疑问可在留言区
掌握了这个题目的同学
再来做道题巩固下吧
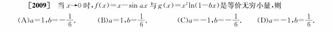
例
无穷小量


记得在留言区/私信写下你的答案哦!
将有机会在第二天的文章中上榜
被宇哥翻牌哦
(坚持写答案更容易考到150分)
答案及解析见明天
坚持奖励

截止到8月31日

截止到8月31日

截止到8月31日
左右滑动查看更多奖品

宠爱时间
宇哥亲笔签名20版《真题大全解》*4
参与方式
条件一:见留言区置顶留言
条件二:在留言区写下今日练习题正确答案+考研目标分数
满足条件一、二
留言点赞排名前4名
将得到
宇哥亲笔签名20版《真题大全解》
开奖时间:8月16日10:00
往期必看

点击阅读全文
了解20考研数学全程班


