
近日,中国科学技术大学少年班少年创新试点班科学营第一阶段结束,我们一起来看今年的考情和题目~
科学营一试考情
⏰考试时间:8:30-12:00,数学物理一起考
✅考试分值:
数学:100分,6道题,均为大题;
物理:100分,8道题,7道大题,1道实验填空
🌈试题难度:
数学基本为预赛、高联一试难度,最后一题达到联赛二试,有一定难度;物理比数学难,物竞生友好。
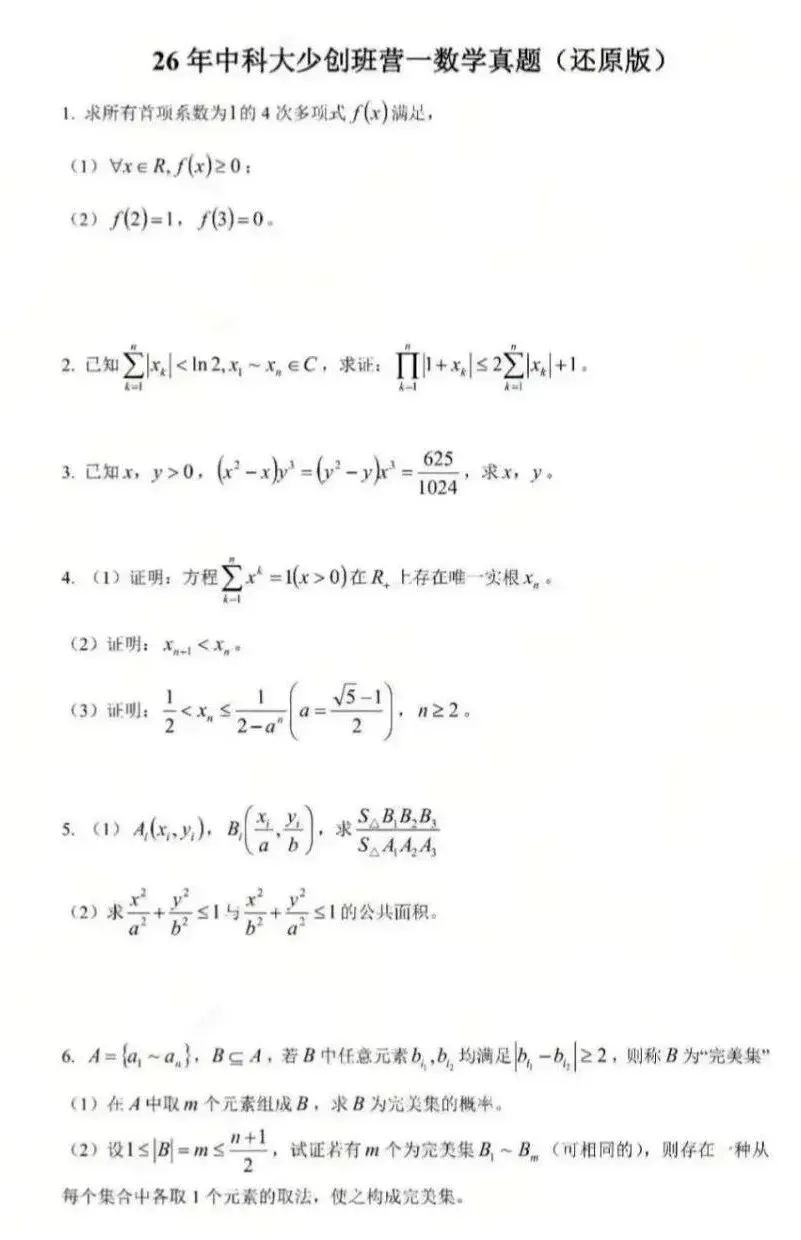
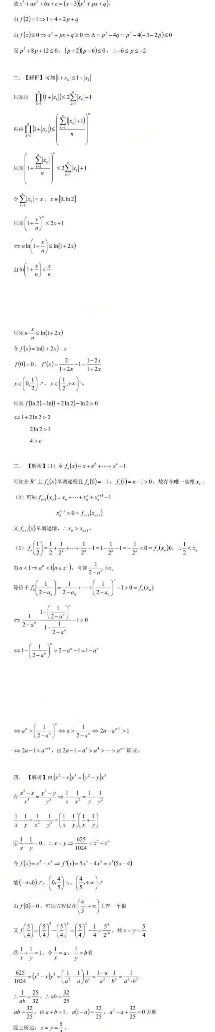
回忆版数学试题及答案




回忆版物理试题及答案




科学营后续安排
文章来源:
四季读书网
版权声明:本文内容由互联网用户自发贡献,该文观点仅代表作者本人。本站仅提供信息存储空间服务,不拥有所有权,不承担相关法律责任。如发现本站有涉嫌抄袭侵权/违法违规的内容, 请发送邮件至23467321@qq.com举报,一经查实,本站将立刻删除;如已特别标注为本站原创文章的,转载时请以链接形式注明文章出处,谢谢!