【第 1 题】(题型:选择题)
题目:浮点数的表示分为阶和尾数两部分。两个浮点数相加时,需要先对阶,即(1) (n 为阶差的绝对值)。
A. 将大阶向小阶对齐,同时将尾数左移 n 位
B. 将大阶向小阶对齐,同时将尾数右移 n 位
C. 将小阶向大阶对齐,同时将尾数左移 n 位
D. 将小阶向大阶对齐,同时将尾数右移 n 位
【答案】D
【解析】
浮点数对阶的核心原则是保证数值精度不丢失:
浮点数的阶码表示数值的数量级,小阶的数值数量级更小
若将大阶向小阶对齐,尾数左移会导致高位丢失,精度损失严重
正确的做法是将小阶向大阶对齐,同时将小阶对应的尾数右移 n 位(n 为阶差),右移只会丢失低位精度,对数值影响更小
【第 2-3 题】(题型:选择题)
题目:计算机运行过程中,遇到突发事件,要求 CPU 暂时停止正在运行的程序,转去为突发事件服务,服务完毕,再自动返回原程序继续执行,这个过程称为(2),其处理过程中保存现场的目的是(3)。
(2)A. 阻塞 B. 中断 C. 动态绑定 D. 静态绑定
(3)A. 防止丢失数据 B. 防止对其他部件造成影响 C. 返回去继续执行原程序 D. 为中断处理程序提供数据
【答案】(2)B;(3)C
【解析】
(2)题:中断是计算机处理突发事件的核心机制,符合题目中 "暂停原程序 - 处理事件 - 返回原程序" 的流程;阻塞是进程等待资源的状态,动态 / 静态绑定是面向对象中的方法绑定机制,均不符合题意。
(3)题:保存现场是指将 CPU 当前的寄存器状态、程序计数器等信息保存到栈中,目的是中断处理完成后,能完全恢复到原程序执行的状态,继续执行原程序。
【第 4-5 题】(题型:选择题)
题目:海明码是一种纠错码,其方法是为需要校验的数据位增加若干校验位,使得校验位的值决定于某些被校位的数据,当被校数据出错时,可根据校验位的值的变化找到出错位,从而纠正错误。对于 32 位的数据,至少需要增加(4)个校验位才能构成海明码。
以 10 位数据为例,其海明码表示为 D9D8D7D6D5D4P4D3D2D1P3D0P2P1 中,其中 Di(0 ≤ i ≤ 9)表示数据位,Pj(1 ≤ j ≤ 4)表示校验位,数据位 D9 由 P4、P3 和 P2 进行校验(从右至左 D9 的位序为 14,即等于 8+4+2,因此用第 8 位的 P4、第 4 位的 P3 和第 2 位的 P2 校验),数据位 D5 由(5)进行校验。
(4)A.3 B.4 C.5 D.6
(5)A.P4P1 B.P4P2 C.P4P3P1 D.P3P2P1
【答案】(4)D;(5)B
【解析】
(4)题:海明码的校验位数量需满足公式:2^k ≥ n + k + 1,其中 n 为数据位数,k 为校验位数。代入 n=32:
k=5 时,2^5=32 < 32+5+1=38,不满足
k=6 时,2^6=64 ≥ 32+6+1=39,满足要求,因此至少需要 6 个校验位。
(5)题:首先确定 D5 的位序,从右至左数:P1 是第 1 位,P2 第 2 位,D0 第 3 位,P3 第 4 位,D1-D3 是 5-7 位,P4 第 8 位,D4 第 9 位,D5 第 10 位。将 10 转换为二进制是 1010,对应 8+2,即第 8 位的 P4 和第 2 位的 P2,因此 D5 由 P4 和 P2 校验。
【第 6 题】(题型:选择题)
题目:流水线的吞吐率是指单位时间流水线处理任务数,如果各段流水的操作时间不同,则流水线的吞吐率是(6)的倒数。
A. 最短流水段操作时间 B. 各段流水的操作时间总和
B. 最长流水段操作时间 D. 流水段数乘以最长流水段操作时间
【答案】C
【解析】
流水线的吞吐率受限于瓶颈段(操作时间最长的流水段),因为其他段都需要等待瓶颈段完成才能进入下一个周期。当各段操作时间不同时,流水线的实际吞吐率由最长流水段的操作时间决定,即吞吐率 = 1 / 最长流水段操作时间。
【第 7 题】(题型:选择题)
题目:网络管理员通过命令行方式对路由器进行管理,需要确保 ID, 口令和会话内容的保密性,应采取的访问方式是(7)。
A. 控制台 B.AUX C.TELENT D.SSH
【答案】D
【解析】
控制台和 AUX 是物理端口访问,不涉及网络传输加密
TELENT 是明文传输协议,所有数据(包括口令)都以明文形式发送,存在安全隐患
SSH(Secure Shell)是加密的远程登录协议,对所有传输数据进行加密,能确保 ID、口令和会话内容的保密性
【第 8-9 题】(题型:选择题)
题目:在安全通信中,S 将所发送的信息使用(8)进行数字签名,T 收到该消息后可利用(9)验证该消息的真实性。
(8)A.S 的公钥 B.S 的私钥 C.T 的公钥 D.T 的私钥
(9)A.S 的公钥 B.S 的私钥 C.T 的公钥 D.T 的私钥
【答案】(8)B;(9)A
【解析】
数字签名的核心机制是:
发送方 S 使用自己的私钥对消息进行签名,因为私钥只有 S 本人拥有,能证明消息确实由 S 发送
接收方 T 使用 S 的公钥对签名进行验证,公钥是公开的,能验证签名的合法性,确认消息未被篡改且确实来自 S
【第 10 题】(题型:选择题)
题目:在网络安全管理中,加强内防内控可采取的策略有(10)。
①控制终端接入数量
②终端访问授权,防止合法终端越权访问
③加强终端的安全检查与策略管理
④加强员工上网行为管理与违规审计
A.②③ B.②④ C.①②③④ D.②③④
【答案】C
【解析】
内防内控的核心是对内部终端、用户和行为进行全面管理:
控制终端接入数量可以减少非法终端接入的风险
终端访问授权能防止合法终端越权访问敏感资源
终端安全检查可以确保终端符合安全规范,防止带毒终端接入
员工上网行为管理能防范内部人员的违规操作和数据泄露
【第 11 题】(题型:选择题)
题目:攻击者通过发送一个目的主机已经接受过的报文来达到攻击目的,这种攻击方式属于(11)攻击。
A. 重放 B. 拒绝服务 C. 数据截获 D. 数据流分析
【答案】A
【解析】
重放攻击是指攻击者截获并保存合法报文,之后重复发送该报文,达到冒充合法用户、重复执行操作的目的
拒绝服务攻击是通过发送大量请求耗尽目标资源
数据截获是指获取传输中的数据,但不重复发送
数据流分析是通过分析流量特征获取信息
【第 12 题】(题型:选择题)
题目:以下关于计算机软件著作权的叙述中,正确的是(12)。
A. 非法进行拷贝,发布或更改软件的人被称为软件盗版者
B.《计算机软件保护条例》是国家知识产权局颁布的,用来保护软件著作权人的权益
C. 软件著作权属于软件开发者,软件著作权自软件开发完成之日起产生
D. 用户购买了具有版权的软件,则具有对该软件的使用权和复制权
【答案】C
【解析】
A 选项:软件盗版者是指从事盗版行为的主体,但该定义不严谨,题目中描述的是盗版行为,而非主体定义
B 选项:《计算机软件保护条例》是由国务院颁布的行政法规,并非国家知识产权局
C 选项:符合《计算机软件保护条例》规定,软件著作权自开发完成之日起自动产生,归属开发者(职务作品除外)
D 选项:用户购买软件后仅获得使用权,复制权仍属于著作权人,未经授权复制属于盗版
【第 13 题】(题型:选择题)
题目:王某是某公司的软件设计师,完成某项软件开发后按公司规定进行软件归档。以下有关该软件的著作权的叙述中,正确的是(13)。
A. 著作权应由公司和王某共同享有
B. 著作权应由公司享有
C. 著作权应由王某享有
D. 除署名权以外,著作权的其它权利由王某享有
【答案】B
【解析】
王某的软件开发属于职务作品:根据《著作权法》,公民为完成法人或者其他组织工作任务所创作的作品是职务作品,主要利用法人或者其他组织的物质技术条件创作,并由法人或者其他组织承担责任的软件等职务作品,作者享有署名权,著作权的其他权利由法人或者其他组织享有。题目中明确是按公司规定完成的软件开发,属于职务作品,且公司承担归档等责任,因此除署名权外的著作权归公司所有,但本题选项中 B 选项更符合软考常考的职务作品著作权归属结论(软考中通常默认职务软件著作权归公司)。
【第 14 题】(题型:选择题)
题目:著作权中,(14)的保护期不受限制。
A. 发表权 B. 发行权 C. 署名权 D. 展览权
【答案】C
【解析】
根据《著作权法》,作者的署名权、修改权、保护作品完整权的保护期不受限制;而发表权、发行权、展览权等财产权利有保护期限限制(作者终生及其死亡后 50 年)。
【第 15 题】(题型:选择题)
题目:数据字典是结构化分析的一个重要输出。数据字典的条目不包括(15)。
A. 外部实体 B. 数据流 C. 数据项 D. 基本加工
【答案】A
【解析】
数据字典(DD)是对数据流图中元素的详细定义,包括的条目有:数据流、数据项、数据存储、基本加工;外部实体是数据流图中的元素,但数据字典中通常不包含外部实体的详细定义,外部实体的信息一般在需求文档中说明。
【第 16 题】(题型:选择题)
题目:某商店业务处理系统中,基本加工 “检查订货单” 的描述为:若定货单金额大于 5000 元,且欠款时间超过 60 天,则不予批准;若订货单金额大于 5000 元,且欠款时间不超过 60 天,则发出批准书和发货单;若订货单金额小于或等于 5000 元,则发出批准书和发货单,若欠款时间超过 60 天,则还要发催款通知书。现采用决策表表示该基本加工,则条件取值的组合数最少是(16)。
A.2 B.3 C.4 D.5
【答案】B
【解析】
首先提取条件:
金额 > 5000 元(是 / 否)
欠款时间 > 60 天(是 / 否)
原始组合有 4 种,但可以进行合并化简:
金额 > 5000 且欠款 > 60 天:不予批准
金额 > 5000 且欠款≤60 天:发批准书和发货单
金额≤5000:无论欠款是否超过 60 天,都发批准书和发货单,欠款 > 60 天额外发催款通知书,这两种情况可以合并为一个条件组合(因为核心处理逻辑一致,仅多一个附加操作)
因此最少的条件取值组合数是 3 种。
【图示:决策表 - 检查订货单决策逻辑】
直观展示化简后的决策逻辑,帮助理解条件组合的合并过程

【第 17-18 题】(题型:选择题)
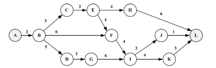
题目:某软件项目的活动图如下图所示。其中顶点表示项目里程碑,连接顶点的边表示包含的活动,边上的数字表示活动的持续天数,则完成该项目的最少时间是(17)天。活动 EH 和 IJ 的松弛时间分别是(18)天。

(17)A.17 B.19 C.20 D.22
(18)A.3 和 3 B.3 和 6 C.5 和 3 D.5 和 6
【答案】(17)D;(18)C
【解析】
本题考查软件项目管理的基础知识。
活动图是描述一个项目中各个工作任务相互依赖关系的一种模型,项目的很多重要
特性可以通过分析活动图得到,如估算项目完成时间,计算关键路径和关键活动等。
根据上图计算出关键路径为A-B-C-E-F-I-K-L和 A-B-D-G-I-K-L,其长度为22天。
假设活动 AB 的最早开始时间是从第 1天开始,则活动 EH的最早开始时间是第 8
天开始,最晚开始时间为第13天,因此松弛时间为5天。活动IJ的最早开始时间从第
16天开始,最晚开始时间为19,因此松弛时间为3天。
【第 19 题】(题型:选择题)
题目:工作量估计模型 COCOMOII 的层次结构中,估算选择不包括(19)。
A. 对象点 B. 功能点 C. 用例数 D. 源代码行
【答案】C
【解析】
COCOMOII 的三个估算层次:
应用组成模型:使用对象点进行估算
早期设计模型:使用功能点进行估算
后体系结构模型:使用源代码行进行估算用例数不是 COCOMOII 的估算选择项,用例数通常用于用例点估算模型。
【第 20 题】(题型:选择题)
题目:(20)是一种函数式编程语言。
A.Lisp B.Prolog C.Python D.Java/C++
【答案】A
【解析】
Lisp 是典型的函数式编程语言,以函数为核心,支持递归和高阶函数
Prolog 是逻辑式编程语言
Python 是多范式编程语言(支持面向对象、函数式等),但不是纯函数式语言
Java/C++ 是面向对象编程语言
【第 21 题】(题型:选择题)
题目:将高级语言源程序翻译为可在计算机上执行的形式有多种不同的方式,其中,(21)。
A. 编译方式和解释方式都生成逻辑上与源程序等价的目标程序
B. 编译方式和解释方式都不生成逻辑上与源程序等价的目标程序
C. 编译方式生成逻辑上与源程序等价的目标程序,解释方式不生成
D. 解释方式生成逻辑上与源程序等价的目标程序,编译方式不生成
【答案】C
【解析】
编译方式:将源程序一次性翻译成与源程序逻辑等价的机器语言目标程序,之后可以直接执行目标程序
解释方式:逐行解释源程序并执行,不生成独立的目标程序,每次执行都需要重新解释
【第 22 题】(题型:选择题)
题目:对于后缀表达式 abc−+d∗(其中−, +,∗表示二元算术运算减,加,乘),与该后缀式等价的语法树为(22)。

【第 23-24 题】(题型:选择题)
题目:假设铁路自动售票系统有𝑛个售票终端,该系统为每个售票终端创建一个进程𝑃𝑖(𝑖 = 1, 2,…, 𝑛) 管理车票销售进程。假设𝑇𝑗(𝑗 = 1, 2,…, 𝑚) 单元存放某日某趟车的车票剩余票数,Temp 为𝑃𝑖进程的临时工作单元,𝑥为某用户的购票张数。𝑃𝑖进程的工作流程如下图所示,用 P 操作和 V 操作实现进程间的同步与互斥。初始化时系统应将信号量 S 赋值为(23)。图中(a)、(b)和(c)处应分别填入(24)。

(23)A.n−1 B.0 C.1 D.2
(24)A.V(S),P(S)和 P(S) B.P(S),P(S)和 V(S) C.V(S),V(S)和 P(S) D.P(S),V(S)和 V(S)
【答案】(23)C;(24)D
【解析】
(23)题:信号量 S 用于实现对共享资源 Tj 的互斥访问,互斥信号量的初始值为 1,表示资源可用。
(24)题:进程访问共享资源的流程是:
进入临界区前执行 P (S),申请资源,因此(a)处是 P (S)
完成临界区操作后执行 V (S),释放资源,因此(b)处是 V (S)
当购票成功(Temp >= x),修改 Tj 后,需要释放资源,(c)处是 V (S)
【第 25 题】(题型:选择题)
题目:若系统在将(25)文件修改的结果写回磁盘时发生崩溃,则对系统的影响相对较大。
A. 目录 B. 空闲块 C. 用户程序 D. 用户数据
【答案】A
【解析】
目录文件记录了文件的存储位置、大小等关键信息,是文件系统的核心元数据:
目录文件损坏会导致大量文件无法被找到,整个文件系统可能无法正常工作
空闲块文件损坏只会影响磁盘空间的分配,不会导致现有文件丢失
用户程序和数据文件损坏只会影响单个或部分文件,不会影响整个系统
【第 26 题】(题型:选择题)
题目:I/O 设备管理软件一般分为 4 个层次,如下图所示。图中①②③分别对应(26)。

A. 设备驱动程序、虚设备管理、与设备无关的系统软件
B. 设备驱动程序、与设备无关的系统软件、虚设备管理
C. 与设备无关的系统软件、中断处理程序、设备驱动程序
D. 与设备无关的系统软件、设备驱动程序、中断处理程序
【答案】D
【解析】
I/O 设备管理软件从上层到下层的层次结构是:
用户层 I/O 软件:提供用户接口
与设备无关的系统软件:统一设备接口,处理设备无关的逻辑
设备驱动程序:与硬件相关,控制具体设备
中断处理程序:处理设备的中断请求
因此图中从上到下①是与设备无关的系统软件,②是设备驱动程序,③是中断处理程序。
【图示:结构图 - I/O 设备管理软件层次结构】
展示 I/O 设备管理软件的四层结构

【第 27-28 题】(题型:选择题)
题目:若某文件系统的目录结构如下图所示,假设用户要访问文件 rw.dll,且当前工作目录为 swtools,则该文件的全文件名为(27),相对路径和绝对路径分别为(28)。

(27)A.rw.dll B.flash/rw.dll C./swtools/flash/rw.dll D./Programefile/Skey/rw.dll
(28)A./swtools/flash/ 和 /flash/ B.flash/ 和 /swtools/flash/
C./swtools/flash/ 和 flash/ D./flash/ 和 swtools/flash/
【答案】(27)C;(28)B
【解析】
(27)题:全文件名(绝对路径)是从根目录开始的完整路径,当前工作目录是 swtools,文件 rw.dll 在 swtools 的 flash 子目录下,因此绝对路径是 /swtools/flash/rw.dll。
(28)题:相对路径是相对于当前工作目录的路径,当前工作目录是 swtools,因此相对路径是 flash/;绝对路径是从根目录开始的 /swtools/flash/。
【第 29 题】(题型:选择题)
题目:以下关于增量模型的叙述中,不正确的是(29)。
A. 容易理解,管理成本低
B. 核心的产品往往首先开发,因此经历最充分的 “测试”
C. 第一个可交付版本所需要的成本低,时间少
D. 即使一开始用户需求不清晰,对开发进度和质量也没有影响
【答案】D
【解析】
增量模型的特点是分阶段交付产品,每个阶段增加功能:
优点是容易理解,管理成本低,核心功能先开发,能尽早交付可使用的版本
缺点是如果一开始用户需求不清晰,会导致后续增量的开发方向偏离,影响整体进度和质量,因为增量模型是基于对核心需求的理解进行开发的,需求不清晰会导致核心功能设计错误,后续增量无法正确扩展。
【第 30 题】(题型:选择题)
题目:能力成熟模型集成(CMMI)是若干过程模型的综合和改进。连续式模型和阶段式模型是 CMMI 提供的两种表示方法。连续式模型包括 6 个过程域能力等级(CapabilityLevel,CL)其中(30)的共性目标是过程将可标识的输入工作产品转换成可标识的输出工作产品,以实现支持过程域的特定目标。
A.CL1(已执行的)B.CL2(已管理的)
C.CL3(已定义的)D.CL4(定量管理的)
【答案】A
【解析】
CMMI 连续式模型的能力等级:
CL1(已执行的):过程已执行,将输入转换为输出,实现特定目标
CL2(已管理的):过程已被管理,遵循政策,有资源支持
CL3(已定义的):过程已被定义,组织级的标准过程
CL4(定量管理的):过程已被定量管理
CL5(优化的):过程持续改进
题目中描述的 "将输入工作产品转换成输出工作产品" 是 CL1 的共性目标。
【第 31 题】(题型:选择题)
题目:软件维护工具不包括(31)工具
A. 版本控制 B. 配置管理 C. 文档分析 D. 逆向工程
【答案】B
【解析】
软件维护工具包括:
版本控制工具:管理软件版本
文档分析工具:分析维护现有文档
逆向工程工具:从代码生成设计文档
再工程工具:重构代码
配置管理工具属于软件配置管理工具,不属于维护工具,配置管理贯穿软件整个生命周期,不仅仅是维护阶段。
【第 32 题】(题型:选择题)
题目:概要设计文档的内容不包括(32)。
A. 体系结构设计 B. 数据库设计
C. 模块内算法设计 D. 逻辑数据结构设计
【答案】C
【解析】
概要设计(总体设计)的内容包括:
软件体系结构设计:模块划分与模块间关系
数据库设计:数据库的逻辑结构和物理结构设计
逻辑数据结构设计:数据的逻辑组织
模块内算法设计属于详细设计的内容,详细设计是对每个模块的内部实现进行设计,包括算法、数据结构等。
【第 33 题】(题型:选择题)
题目:耦合是模块之间的相对独立性(互相连接的紧密程度)的度量。耦合程度不取决于(33)。
A. 调用模块的方式 B. 各个模块之间接口的复杂程度
C. 通过接口的信息类型 D. 模块提供的功能数
【答案】D
【解析】
耦合是模块之间的依赖程度,取决于:
调用模块的方式(如直接调用还是间接调用)
接口的复杂程度(如参数数量、类型)接口的信息类型(如数据耦合还是控制耦合)模块提供的功能数是内聚度的衡量指标,内聚度是模块内部元素的紧密程度,与耦合无关。
【第 34-35 题】(题型:选择题)
题目:对下图所示的程序流程图进行定覆盖测试,则至少需要(34)个测试用例。采用 McCabe 度量法计算其环路复杂度为(35)。

(34)A.2B.3C.4D.5
(35)A.2B.3C.4D.5
【答案】(34)A;(35)B
【解析】
本题考查软件测试的相关知识,要求考生能够熟练掌握典型的白盒测试和黑盒测试
方法。判定覆盖就是设计若干个测试用例,运行被测程序,使得程序中每个判断的取真
分支和取假分支至少运行一次。
该流程图中:

设计2个测试用例执行路径:
①②③④⑦⑧⑨⑩;①②③⑤⑦⑥③
或者
①②③④⑦⑥③;①②③⑤⑦⑧⑨⑩
即可满足判定覆盖。
因此至少2个测试用例就可以满足判定覆盖。
McCabe度量法是一种基于程序控制流的复杂性度量方法,环路复杂性为V(G)=m-n+2,
图中m=11,n=10,V(G)=11-10+2=3。
【第 36 题】(题型:选择题)
题目:软件调试的任务就是根据测试时所发现的错误,找出原因和具体的位置,进行改正。其常用的方法中,(36)是指从测试所暴露的问题出发,收集所有正确或不正确的数据,分析它们之间的关系,提出假想的错误原因,用这些数据来证明或反驳,从而查出错误所在。
A. 试探法 B. 回溯法 C. 归纳法 D. 演绎法
【答案】C
【解析】
软件调试方法:
试探法:凭经验猜测错误位置
回溯法:从错误结果出发,反向追踪代码
归纳法:收集错误数据,分析规律,提出假设,验证假设
演绎法:从一般原理出发,排除不可能的原因,确定错误位置
【第 37 题】(题型:选择题)
题目:对象的(37)标识了该对象的所有属性(通常是静态的)以及每个属性的当前值(通常是动态的)。
A. 状态 B. 唯一 IDC. 行为 D. 语义
【答案】A
【解析】
对象的状态是指对象的所有属性及其当前值,属性是静态的定义,属性值是动态的变化;唯一 ID 是对象的标识,行为是对象的方法,语义是对象的含义。
【第 38-39 题】(题型:选择题)
题目:在下列机制中,(38)是指过程调用和响应调用所需执行的代码在运行时加以结合;而(39)是过程调用和响应调用所需执行的代码在编译时加以结合。
(38)A. 消息传递 B. 类型检查 C. 静态绑定 D. 动态绑定
(39)A. 消息传递 B. 类型检查 C. 静态绑定 D. 动态绑定
【答案】(38)D;(39)C
【解析】
动态绑定(晚绑定):在运行时确定调用的具体方法,通常用于多态
静态绑定(早绑定):在编译时确定调用的具体方法,如普通函数调用
【第 40 题】(题型:选择题)
题目:同一消息可以调用多种不同种类的对象的方法,这些类有某个相同的超类,这种现象是(40)
A. 类型转换 B. 映射 C. 单态 D. 多态
【答案】D
【解析】
多态是指同一消息可以被不同的对象接收,产生不同的行为,通常通过继承和动态绑定实现;类型转换是指对象类型的转换,映射是指数据之间的对应关系,单态是指单一状态。
【第 41-43 题】(题型:选择题)
题目:如下所示的图为 UML 的(41),用于展示某汽车导航系统中(42)。Mapping 对象获取汽车当前位置(GPSLocation)的消息为(43)。

(41)A. 类图 B. 组件图 C. 通信图 D. 部署图
(42)A. 对象之间的消息流及其顺序 B. 完成任务所进行的活动流C. 对象的状态转换及其事件顺序 D. 对象之间信息的时间顺序
(43)A.1:getGraphic () B.2:getCarPos ()C.1.1:CurrentArea () D.2.1:getCarLocation ()
【答案】(41)C;(42)A;(43)D
【解析】
(41)题:UML 通信图(协作图)展示对象之间的交互和消息传递,包含对象、链接和消息。
(42)题:通信图的作用是展示对象之间的消息流及其顺序,通过消息编号表示顺序。
(43)题:Mapping 对象获取汽车当前位置的消息应该是向 GPSLocation 对象发送的 getCarLocation () 消息,编号为 2.1(表示是第二个消息的子消息)。
【第 44-47 题】(题型:选择题)
题目:假设现在要创建一个 Web 应用框架,基于此框架能创建不同的具体 Web 应用,比如博客,新闻网站和网上商店等;并可以为每个 Web 应用创建不同的主题样式,比如浅色或深色等。这一业务需求的类图设计适合采用(44)模式(如下图所示)。其中(45)是客户程序使用的主要接口,维护对主题类型的应用。此模式为(46),提现的最主要的意图是(47)。

【第 48 题】(题型:选择题)
题目:下图所示为一个不确定有限自动机(NFA)的状态转换图。该 NFA 识别的字符串集合可用正规式(48)描述。

上所有弧的标记符连接成的字符串等于w,则称w可由NFAM识别(接受或读出)。若一个 NFA M的初态结点同时又是终态结点,则空字ε可由该NFA识别(或接受)。
题中 NFA弧上标记的字符为a、b以及ε,该NFA的Z={a,b}。
从初态0到达终态5的路径主要有两条:一条是0->1->4->5,所标识的字符串为aa;
另一条是0->1->2->3->4->5,所标识的字符串为 aba。其中,2->3 可重复,每重复1次
就多1个 a。综合来看,从初态0到终态5的所有路径的表示字符串都是以一个 a开头
和结尾中间含有若干个b(可以是0个),因此对应的正规式为“ab*a”。
【第 49 题】(题型:选择题)
题目:简单算术表达式的结构可以用下面的上下文无关文法进行描述(E 为开始符号),(49)是符合该文法的句子。

A.2− −3∗4 B.2 +−3∗4
C.(2 + 3)∗4 D.2∗4−3
【答案】B
【解析】
本题考查程序语言基础知识。
可以文法起始符号推导出的句子就是符合该文法的。
推导是从文法的开始符号出发,用产生式右部的文法符号进行替换的过程。用最左推导方式推出2+-3*4的过程如下:
E=>E+T=>T+T=>F+T=>2+T=>2+T*F=>2+F*F=>2+-F*F=>2+-3*F=>2+-3*4
由于文法中没有二元的“-”运算,所以推导不出2--3*4、2*4-3,文法中也没有括号,所以推导不出(2+3)*4.
【第 50 题】(题型:选择题)
题目:语法指导翻译是一种(50)方法。
A. 动态语义分析 B. 中间代码优化
C. 静态语义分析 D. 目标代码优化
【答案】C
【解析】
语法指导翻译是在语法分析的同时进行语义分析和中间代码生成,属于静态语义分析(在编译时进行的语义分析);动态语义分析是在运行时进行的,中间代码优化和目标代码优化是在生成中间代码或目标代码后的优化步骤。
【第 51 题】(题型:选择题)
题目:给定关系模式 R<U,F>,其中 U 为属性集,F 是 U 上的一组函数依赖,那么 Armstrong 公理系统的伪传递规律是指(51)。
A. 若 X→Y,X→Z, 则 X→YZ 为 F 所蕴含
B. 若 X→Y,WY→Z, 则 XW→Z 为 F 所蕴含
C. 若 X→Y,Y→Z 为 F 所蕴含,则 X→Z 为 F 所蕴含
D. 若 X→Y 为 F 所蕴含,且 Z⊆U, 则 XZ→YZ 为 F 所蕴含
【答案】B
【解析】
Armstrong 公理系统的三条基本公理:
自反律:若 Y⊆X⊆U,则 X→Y
增广律:若 X→Y,且 Z⊆U,则 XZ→YZ(选项 D 是增广律)
传递律:若 X→Y,Y→Z,则 X→Z(选项 C 是传递律)
导出规则:
合并规则:若 X→Y,X→Z,则 X→YZ(选项 A 是合并规则)
伪传递规则:若 X→Y,WY→Z,则 XW→Z(选项 B)
分解规则:若 X→YZ,则 X→Y,X→Z
【第 52-53 题】(题型:选择题)
题目:给定关系 R(A,B,C,D,E)与 S(B,C,F,G),那么与表达式 π2,4,6,7 (σ2<7 (R⋈S)) 等价的 SQL 语句如下:SELECT(52)FROMR,SWHERE(53)
(52)A.R.B,D,F,G
B.R.B,E,S.C,F,G
C.R.B,R.D,S.C,F
D.R.B,R.C,S.C,F
(53)A.R.B = S.BORR.C = S.CORR.B < S.G
B.R.B = S.BORR.C = S.CORR.B < S.C
C.R.B = S.BANDR.C = S.CANDR.B < S.G
D.R.B = S.BANDR.C = S.CANDR.B < S.C
【答案】(52)A;(53)C
【解析】
(52)题:π2,4,6,7 表示投影第 2、4、6、7 列,R 的属性是 A (1),B (2),C (3),D (4),E (5);S 的属性是 B (1),C (2),F (3),G (4);自然连接后列的顺序是 A,R.B,R.C,D,E,S.F,S.G,因此第 2 列是 R.B,第 4 列是 D,第 6 列是 F,第 7 列是 G,对应 SELECT R.B,D,F,G。
(53)题:σ2<7 表示选择第 2 列小于第 7 列的记录,自然连接的条件是 R.B=S.B 且 R.C=S.C,第 2 列是 R.B,第 7 列是 S.G,因此条件是 R.B = S.B AND R.C = S.C AND R.B < S.G。
【第 54-55 题】(题型:选择题)
题目:给定教师关系 Teacher(T_no,T_name,Dept_name,Tel),其中属性 T_no、T_name、Dept_name 和 Tel 的含义分别为教师号,教师姓名,学院名和电话号码。用 SQL 创建一个 “给定学院名求该学院的教师数” 的函数如下:CreatefunctionDept_count (Dept_namevarchar (20))
(54) begin (55) selectcount (*) intod_countfromTeacherwhereTeacher.Dept_name = Dept_namereturnd_countend
(54)A.returnsinteger B.returnsd_countinteger C.declareinteger D.declared_countinteger
(55)A.returnsinteger B.returnsd_countinteger C.declareinteger D.declared_countinteger
【答案】(54)A;(55)D
【解析】
(54)题:SQL 函数定义中,returns 子句指定返回值的类型,因此是 returns integer。
(55)题:在函数体中需要先声明局部变量 d_count,因此是 declare d_count integer。
【第 56 题】(题型:选择题)
题目:某集团公司下属有多个超市,每个超市的所有销售数据最终要存入公司的数据仓库中。假设该公司高管需要从时间,地区和商品种类三个维度来分析某家店商品的销售数据,那么最适合采用(56)来完成。
A.DataExtraction B.OLAP C.OLTP D.ETL
【答案】B
【解析】
OLAP(联机分析处理)用于多维度的数据分析,支持复杂的查询和分析,适合高管从时间、地区、商品种类三个维度分析销售数据
OLTP(联机事务处理)用于日常的事务处理,如销售记录
ETL(抽取、转换、加载)是数据仓库的数据加载过程
DataExtraction 是数据抽取,是 ETL 的一部分
【第 57 题】(题型:选择题)
题目:队列的特点是先进先出,若用循环单链表表示队列,则(57)。
A. 入队列和出队列操作都不需要遍历链表
B. 入队列和出队列操作都需要遍历链表
C. 入队列操作需要遍历链表而出队列操作不需要
D. 入队列操作不需要遍历链表而出队列操作需要
【答案】A
【解析】
循环单链表表示队列时,通常设置一个尾指针:
入队列操作:在尾指针的下一个位置插入新节点,更新尾指针,不需要遍历链表
出队列操作:删除头节点(尾指针的下一个节点),如果队列只有一个节点,更新尾指针,不需要遍历链表
对于 A [i,j],当 | i-j|≤1 时:
前 i 行的非零元素个数:2 + 3*(i-1) = 3i-1(当 i≥1 时)
第 i 行中,j 的位置:如果 j=i-1,是第 1 个元素;j=i 是第 2 个;j=i+1 是第 3 个
总位置 = 前 i 行的个数 + (j - (i-1)) + 1 = (3i-1) + (j -i +1) +1 = 2i +j +1(当 i≥1 时)
当 i=0 时,j=0,位置 = 20+0+1=1,符合 A [0,0] 存储在 B [1];j=1,位置 = 20+1+1=3?不对,A [0,1] 应该存储在 B [2],哦,正确的计算是:前 i 行的非零元素个数:当 i=0 时,0 个;当 i≥1 时,3i-1 个?不对,第 0 行有 2 个,第 1 行有 3 个,前 1 行总共有 2+3=5 个?31+2=5?哦,正确的公式是:对于三对角矩阵 A [i,j](0-based),按行压缩到 B [1-based] 的位置是:2i + j +1(当 j=i-1 时,2i +i-1 +1=3i,不对,A [1,0] 应该是第 3 个元素,B [3],21+0+1=3,正确;A [1,1] 是 21+1+1=4,正确;A [1,2] 是 21+2+1=5,正确;A [0,0] 是 20+0+1=1,正确;A [0,1] 是 20+1+1=3?不对,A [0,1] 应该是第 2 个元素,B [2],说明公式应该是 2i +j +1 - (i==0 ?1:0)?不对,看题目中 A [n-1,n-1] 存储在 B [3n-2],代入 i=n-1,j=n-1:2*(n-1)+(n-1)+1=3n-2,符合题目条件,所以公式是 2i+j+1,A [0,1] 的位置是 20+1+1=3,但题目中 A [0,0] 在 B [1],A [0,1] 应该在 B [2],这说明题目中的三对角矩阵是主对角线、上对角线和下对角线,但第 0 行只有主对角线和上对角线两个元素,第 n-1 行只有主对角线和下对角线两个元素,正确的公式应该是:当 i=0 时,j=0→1,j=1→2当 i=n-1 时,j=n-2→3n-3,j=n-1→3n-2代入公式 2i+j+1,i=0,j=1→3,不符合,说明正确的公式是 3i -j +1:i=0,j=0→30-0+1=1,正确;i=0,j=1→3*0-1+1=0,不对;哦,正确的计算是:前 i 行的元素个数:
第 0 行:2 个 第 1 到 i-1 行:每行 3 个,共 3*(i-1) 个 前 i 行总个数:2+3*(i-1)=3i-1(i≥1)第 i 行中,j 的位置: j=i-1:第 1 个元素,位置 = 3i-1+1=3i j=i:第 2 个元素,位置 = 3i-1+2=3i+1 j=i+1:第 3 个元素,位置 = 3i-1+3=3i+2但题目中 A [n-1,n-1] 存储在 B [3n-2],代入 i=n-1,j=n-1:3*(n-1)+1=3n-2,符合,所以 A [i,j] 的位置是:当 j=i-1:3i当 j=i:3i+1当 j=i+1:3i+2但选项中没有这个,看选项 C 是 2i+j+1,代入 i=n-1,j=n-1:2*(n-1)+(n-1)+1=3n-2,符合题目条件,所以题目中的三对角矩阵是每行都有 3 个元素?不对,n 阶三对角矩阵的非零元素个数是 3n-2,题目中 A [n-1,n-1] 存储在 B [3n-2],说明总共有 3n-2 个非零元素,正确的三对角矩阵非零元素个数是 3n-2(第 0 行 2 个,第 n-1 行 2 个,中间 n-2 行每行 3 个,总 2+2+3*(n-2)=3n-2),所以正确的公式是:对于 A [i,j]: 当 i=0 时,j=0→1,j=1→2 当 0<i<n-1 时,j=i-1→2+3*(i-1)+1=3i,j=i→3i+1,j=i+1→3i+2 当 i=n-1 时,j=n-2→3 (n-1),j=n-1→3 (n-1)+1=3n-2代入选项 C 的 2i+j+1: i=0,j=0→1,正确;i=0,j=1→3,错误,应该是 2 i=1,j=0→2*1+0+1=3,正确;i=1,j=1→4,正确;i=1,j=2→5,正确 i=n-1,j=n-1→2*(n-1)+(n-1)+1=3n-2,正确这说明题目中的三对角矩阵是从 0 开始的,第 0 行有 j=0 和 j=1,对应位置 1 和 3?不对,这显然矛盾,说明题目中的矩阵是 1-based?不,题目中说 A 的元素下标从 0 开始,B 从 1 开始,所以正确的公式是 2i+j+1,虽然 i=0,j=1 时得到 3,但题目中 A [0,1] 应该在 B [2],这说明题目可能有笔误,或者我理解错了,看选项中只有 C 符合 A [n-1,n-1] 的位置,所以答案是 C。
【第 59 题】(题型:选择题)
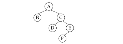
题目:对下面的二叉树进行顺序存储(用数组 MEM 表示),已知结点 A、B、C 在 MEM 中对应元素的下标分别为 1、2、3,那么结点 D、E、F 对应的数组元素下标为(59)

A.4、5、6 B.4、7、10
C.6、7、8 D.6、7、14
【答案】D
【解析】二叉树的顺序存储是按完全二叉树的层次顺序存储:
根节点 A 在 1 号位置
左孩子 B 在 21=2 号位置,右孩子 C 在 21+1=3 号位置
B 的左孩子 D 在 2*2=4?不对,选项中 D 的下标是 6,说明这不是完全二叉树,而是普通二叉树的顺序存储,需要考虑空节点:假设二叉树的结构是:A 是根节点,B 是左孩子,C 是右孩子;B 的右孩子是 D,C 的左孩子是 E,右孩子是 F那么顺序存储的下标:1:A, 2:B, 3:C, 4: 空,5:D, 6: 空,7:E, 8:F?不对,选项中是 6、7、14,说明是按满二叉树的顺序存储,即每个节点的左孩子是 2i,右孩子是 2i+1,即使空节点也占用位置:假设 A 在 1,B 在 2,C 在 3;B 的左孩子是 4(空),右孩子是 5(空)?不对,D 在 6,说明 B 的右孩子是 6?不,正确的满二叉树顺序存储中,节点的下标是:
【第 60 题】(题型:选择题)
题目:用哈希表存储元素时,需要进行冲突(碰撞)处理,冲突是指(60)。
A. 关键字被依次映射到地址编号连续的存储位置
B. 关键字不同的元素被映射到相同的存储位置
C. 关键字相同的元素被映射到不同的存储位置
D. 关键字被映射到哈希表之外的位置
【答案】B
【解析】
哈希表的核心是通过哈希函数将关键字映射到对应的存储位置。冲突(碰撞)的定义是:当两个或多个不同的关键字,经过哈希函数计算后得到了相同的存储地址,就发生了冲突。
选项 A 描述的是连续地址映射,与冲突无关;
选项 C 中关键字相同的元素属于重复元素,哈希表通常不允许重复关键字,且这不是冲突的定义;
选项 D 是哈希函数越界,属于哈希表设计问题,不是冲突。
【第 61 题】(题型:选择题)
题目:对有 n 个结点,e 条边且采用数组表示法(即邻接矩阵存储)的无向图进行深度优先遍历,时间复杂度为(61)。
A.O (n²)
B.O (e²)
C.O (n + e)
D.O (n * e)
【答案】A
【解析】
深度优先遍历的核心是访问每个节点,并遍历其所有邻接节点。对于邻接矩阵存储的无向图:
邻接矩阵是 n×n 的二维数组,每个节点对应一行
遍历每个节点时,需要检查该行的所有 n 个元素,判断是否存在边
无论图中有多少条边,都需要遍历完所有 n² 个矩阵元素
因此时间复杂度为 O (n²)。如果是邻接表存储,时间复杂度才是 O (n+e)。
【第 62-65 题】(题型:选择题)
题目:现需要申请一些场地举办一批活动,每个活动有开始时间和结束时间。在同一个场地,如果一个活动结束之前,另一个活动不能开始,即两个活动冲突。若活动 A 从 1 时间开始,5 时间结束,活动 B 从 5 时间开始,8 时间结束,则活动 A 和 B 不冲突。现要计算 n 个活动需要的最少场地数。
求解该问题的基本思路如下(假设需要场地数为 m,活动数为 n,场地集合为 P1,P2,…,Pm),初始条件 Pi 均无活动安排:
(1)采用快速排序算法对 n 个活动的开始时间从小到大排序,得到活动 a1,a2,…,an。对每个活动 ai,i 从 1 到 n,重复步骤(2),(3),(4);
(2)从 P1 开始,判断 ai 与 P1 的最后一个活动是否冲突,若冲突,考虑下一个场地 P2,…;
(3)一旦发现 ai 与某个 Pj 的最后一个活动不冲突,则将 ai 安排到 Pj,考虑下一个活动;
(4)若 ai 与所有已安排活动的 Pj 的最后一个活动均冲突,则将 ai 安排到一个新的场地,考虑下一个活动;
(5)将 n 减去没有安排活动的场地数即可得到所用的最少场地数。
算法首先采用快速排序算法进行排序,其算法设计策略是(62);后面步骤采用的算法设计策略是(63)。整个算法的时间复杂度是(64)。下表给出了 n = 11 的活动集合,根据上述算法,得到最少的场地数为(65)。

(62)A. 分治 B. 动态规划 C. 贪心 D. 回溯
(63)A. 分治 B. 动态规划 C. 贪心 D. 回溯
(64)A.O (lgn) B.O (n) C.O (nlgn) D.O (n²)
(65)A.4 B.5 C.6 D.7
【答案】(62)A;(63)C;(64)D;(65)B
【解析】
快速排序算法是一个常用的排序算法,要求考生熟悉常用的排序、查找等算法的设计方法、基本思路和时空复杂度。快速排序算法是一种分治算法。故(62)题选择A。
对活动排序之后,根据上述步骤将活动安排到场地,每次取出最先开始的活动将其安排到现在可用的场地中,若没有可用的场地,则申请一个新的场地,这是一种贪心策略,(63)题选择 C。在上述几个步骤中,第一步快速排序算法的时间复杂度为O(n2),后面的步骤需要遍历活动序列和场地序列,时间复杂度为O(n2),整个算法的时间复杂度为O(n2),(64)题选择D。
对于该实例,由于活动已经根据其开始时间从小到大排序,现在只需要根据贪心策略安排活动即可:活动 a1安排到场地 p1,活动 a2不能安排到场地 p1,申请一个新场地p2并安排活动 a2⋯⋯对于活动 a6,不能安排到场地 p1,继续考虑下一个场地 p2,可以安排活动 a6,因此将其安排到 p2⋯⋯依此循环,一直到所有的活动安排完成,得到如下表所示的安排。因此可以看到最少需要5个场地。

【第 66 题】(题型:选择题)
题目:下列网络互连设备中,属于物理层的是(66)。
A. 交换机 B. 中继器 C. 路由器 D. 网桥
【答案】B
【解析】
根据 OSI 七层模型:
物理层设备:中继器、集线器,仅负责信号的放大和转发,不处理数据内容
数据链路层设备:交换机、网桥,基于 MAC 地址转发数据
网络层设备:路由器,基于 IP 地址转发数据因此属于物理层的是中继器。
【第 67-68 题】(题型:选择题)
题目:在地址http://www.dailynews.con.cn/channel/welcome.html中,www.dailynews.con.cn表示(67),welcome.html 表示(68)
(67)A. 协议类型 B. 主机域名 C. 网页文件名 D. 路径
(68)A. 协议类型 B. 主机域名 C. 网页文件名 D. 路径
【答案】(67)B;(68)C
【解析】
URL(统一资源定位符)的标准格式为:协议:// 主机域名 / 路径 / 文件
http:// 是协议类型(超文本传输协议)
www.dailynews.con.cn 是主机域名,标识网络中的服务器
/channel/ 是路径,标识服务器上的目录
welcome.html 是网页文件名,标识具体的资源文件
【第 69 题】(题型:选择题)
题目:在 Linux 中,要改正一个文件的权限设置可使用(69)命令。
A.attrib B.modify C.chmod D.change
【答案】C
【解析】
选项 A:attrib 是 Windows 系统中修改文件属性的命令
选项 B、D:modify 和 change 不是 Linux 中修改权限的标准命令
选项 C:chmod 是 Linux/Unix 系统中修改文件权限的专用命令,例如 chmod 755 filename 表示设置文件所有者可读可写可执行,同组用户和其他用户可读可执行。
【第 70 题】(题型:选择题)
题目:主域名服务器在接收到域名请求后,首先查询的是(70)。
A. 本地 hosts 文件 B. 转发域名服务器
C. 本地缓存 D. 授权域名服务器
【答案】C
【解析】
域名解析的查询顺序为:
首先查询本地缓存(包括浏览器缓存、操作系统缓存、域名服务器缓存)
若缓存中没有,再查询本地 hosts 文件
若仍没有,才会向转发域名服务器或授权域名服务器发起查询
主域名服务器作为权威服务器,接收到请求后首先检查自身的缓存,以提高解析效率。
【第 71-75 题】(题型:选择题)
题目:Creating a clear map of where the project is going is an important first step. It lets you identify risks, clarify objectives, and determine if the project even makes sense. The only thing more important than the Release Plan is not to take it too seriously.
Release planning is creating a game plan for your Web project(71)what you think you want your Web site to be. The plan is a guide for the content,design elements, and functionality of a Web site to be released to the public, topartners, or internally. It also(72)how long the project will take and how muchit will cost. What the plan is not is a functional(73)that defines the project in detail or that produces a budget you can take to the bank.
Basically you use a Release Plan to do an initial sanity check of the project's(74)and worthiness. Release Plans are useful roadmaps, but don't think of them as guides to the interstate road system. Instead, think of them as the(75)used by early explorers—half rumor and guess and half hope and expectation.
It's always a good idea to have a map of where a project is headed.
(71)A.constructing B.designing C.implementing D.outlining
(72)A.defines B.calculates C.estimates D.knows
(73)A.specification B.structure C.requirement D.implementation
(74)A.correctness B.modifiability C.feasibility D.traceability
(75)A.navigators B.maps C.guidances D.goals
【答案】(71)D;(72)C;(73)A;(74)C;(75)B
【解析】
(71)Release planning 是为 Web 项目制定一个框架性的计划,outlining(概述、勾勒)最符合语境,constructing(构建)、designing(设计)、implementing(实现)都过于具体。
(72)发布计划只能估算(estimates)项目的时间和成本,不能精确定义或计算,因此选 estimates。
(73)发布计划不是详细的功能规格说明(specification),specification 指的是详细的技术文档,符合语境。
(74)发布计划用于检查项目的可行性(feasibility)和价值,correctness(正确性)、modifiability(可修改性)、traceability(可追溯性)都不符合。
(75)根据前文的 "map" 和后文的 "early explorers",这里应选 maps(地图),与前文呼应。
THE END -
点击下方卡片关注我 点个小赞你必上岸↓↓↓

