2026浙江中考数学压轴题复习(附解析)

四季读书网 5 0
2026浙江中考数学压轴题复习(附解析)
2026浙江中考数学压轴题复习(附解析) 第1张
2026浙江中考数学压轴题复习(附解析) 第2张
2026浙江中考数学压轴题复习(附解析) 第3张
2026浙江中考数学压轴题复习(附解析) 第4张
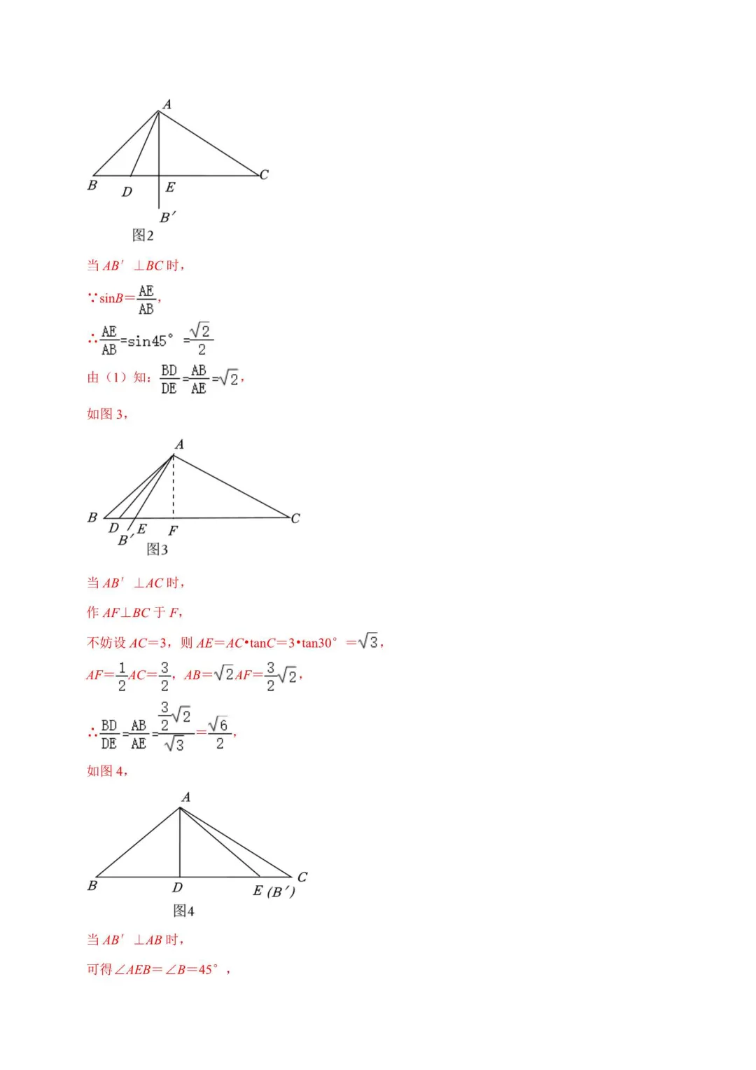
2026浙江中考数学压轴题复习(附解析) 第5张
2026浙江中考数学压轴题复习(附解析) 第6张
2026浙江中考数学压轴题复习(附解析) 第7张
2026浙江中考数学压轴题复习(附解析) 第8张
2026浙江中考数学压轴题复习(附解析) 第9张
2026浙江中考数学压轴题复习(附解析) 第10张
2026浙江中考数学压轴题复习(附解析) 第11张
2026浙江中考数学压轴题复习(附解析) 第12张
2026浙江中考数学压轴题复习(附解析) 第13张
2026浙江中考数学压轴题复习(附解析) 第14张
2026浙江中考数学压轴题复习(附解析) 第15张
2026浙江中考数学压轴题复习(附解析) 第16张
2026浙江中考数学压轴题复习(附解析) 第17张
2026浙江中考数学压轴题复习(附解析) 第18张
2026浙江中考数学压轴题复习(附解析) 第19张

完整版资料领取方式   

第1步 文末右下角点一下“👍🏻❤️
第2步 关注下方公众号,发消息
0401

抱歉,评论功能暂时关闭!